ABSTRACT

Graduate students worldwide face a significant mental health crisis, with high rates of anxiety, depression, and burnout, which collectively undermine their subjective well-being (SWB). However, empirical studies on enhancing their positive psychological qualities remain scarce. This randomized controlled trial examined the efficacy of a 10-week integrative group hypnosis intervention on SWB and its core components among 39 Chinese graduate students, who were allocated to either an experimental group (N = 19) receiving the intervention or a wait-list control group (N = 20). Assessments at pre-intervention, post-intervention, and one-month follow-up showed that the intervention significantly improved SWB (time × group interaction: F = 5.681, P = 0.005, η² = 0.133) and positive affect (F = 6.772, P = 0.002, η² = 0.155). At posttest, the experimental group demonstrated significantly higher SWB, positive affect, subjective vitality, and life satisfaction, along with lower negative affect than the control group. The follow-up data revealed a differential trajectory, whereby the initial surge in positive affect was not fully maintained, contrasting with the more stable improvements in cognitive and energy-related components. Despite this, the integrative group hypnosis intervention effectively enhanced graduate students' overall SWB and produced beneficial effects, offering empirical evidence and a practical pathway for universities to promote positive mental health development.

Key words: postgraduate student, subjective well-being, group hypnosis, randomized controlled trial, positive emotions, life satisfaction

INTRODUCTION

Graduate students worldwide, as a core component in the cultivation of high-level talent, face a severe mental health crisis. They are over six times more likely to experience anxiety and depression compared to the general population (Evans et al., 2018). In China, alongside continuous graduate enrollment expansion and increasingly intense social competition, this demographic is constantly confronted with multiple challenges stemming from research output, paper publication, employment prospects, economic pressure, and interpersonal relationships (Shen, 2020; Wang et al., 2018). This often culminates in a prevalent state of burnout. A systematic review (synthesizing 330 studies from 2010 to 2023) revealed alarming detection rates of mental health problems among Chinese graduate students: Academic burnout (32.7%), sleep problems (24.9%), obsessive-compulsive symptoms (23.1%), depression (21.0%), and anxiety (16.0%; Yu & Wang, 2024). This predicament arises not only from external pressures but is also intricately linked to the students' own high achievement motivation and self-expectations, creating a vicious cycle where internal drives and external stressors mutually reinforce each other (Wang et al., 2018). A survey of 262 full-time master's students further indicated generally low satisfaction across core academic and life domains, such as coursework, research, leisure, and practical experiences (Liu, 2018), coupled with a scarcity of positive emotional experiences, highlighting a comprehensive decline in their quality of life and depletion of psychological resources.

Subjective well-being (SWB) is an overall measure of an individual's cognitive and affective evaluations of their life (Diener, 1984; Diener et al., 2003). SWB is defined as a multidimensional construct comprising three distinct yet related components: Life satisfaction (a global cognitive judgment of one's life), positive affect, and negative affect (the affective components; Diener, 1994; Diener et al., 1999; Diener, 2000). Research demonstrates that higher SWB is robustly associated with better health and longevity, superior social relationships, enhanced work performance, and greater creativity (Diener et al., 2018).

As the affective dimensions of SWB, positive and negative emotions represent two fundamental directions of emotional experience. Positive emotions are not merely reactions to favorable circumstances but constitute critical psychological resources in their own right. These positive emotional experiences can broaden individuals' momentary thought-action repertoires and, over time, build enduring personal resources, including enhanced psychological resilience, improved coping strategies, stronger social support networks, and better physical health (Fredrickson, 2001; Kok et al., 2013). For graduate students entrenched in high-pressure environments, this resource-building process, driven by positive affect, is particularly crucial. It can effectively buffer against the psychological attrition caused by chronic stress and expand the repertoire of potential coping strategies, thereby bolstering stress adaptability (Gloria & Steinhardt, 2016), serving as a key dynamic for breaking the characteristic cycle of emotional numbness and exhaustion in burnout. Conversely, overly frequent, intense, or persistent negative emotions are core markers of psychological distress and low happiness. They not only directly lower SWB levels but can also lead to decreased motivation, inattention, reduced academic performance, and impaired social relationships and overall well-being (Gambolò et al., 2025). Consequently, effective psychological interventions must focus both on enhancing positive emotions to build psychological capital and on alleviating negative emotions to remove their constraints on cognitive functioning and social adaptation.

Life satisfaction, the cognitive dimension of SWB, plays a multifaceted and significant role in the mental health system of graduate students. Longitudinal studies demonstrate a robust bidirectional association between life satisfaction and mental health problems like depression, anxiety, and substance dependence, forming a cyclical pathway of mutual influence (Fergusson et al., 2015). For instance, among medical students, life satisfaction is generally negatively correlated with various symptom factors on the Symptom Checklist-90 (SCL-90) and is a direct influencer of their mental health (Zhou et al., 2015). Furthermore, life satisfaction not only shows a significant negative correlation with depressive symptoms (Feng et al., 2022) but also has a direct negative predictive effect on academic burnout (Hu et al., 2024) and mediates the relationship between mental health risks and students' perceptions of their academic and social functioning (Guzmán et al., 2020). Beyond being a direct predictor of mental health, life satisfaction is also a key bridge connecting positive psychological qualities with mental health. Meta-analysis results show that meaning in life is significantly positively correlated with life satisfaction and can effectively predict SWB (Jin et al., 2016). Simultaneously, life satisfaction plays a key mediating role between time management disposition and mental health (Liu et al., 2023). The formation mechanism of life satisfaction involves multiple psychological processes, including emotional intelligence (indirectly predicting it through attributions for social success or failure; Zhao et al., 2020), awareness and utilization of one's strengths (Wan & Chen, 2021), and positive achievement motivation and interpersonal attribution patterns (Liu et al., 2019). However, the reality is severe, with approximately 30.48% of master's students reporting dissatisfaction with their current living conditions (Liu et al., 2019), underscoring the urgency and necessity of life satisfaction interventions for this population.

Subjective vitality represents the dynamic reflection of well-being, which manifests as a positive state of having available physical and mental energy that one can purposefully regulate and utilize (Ryan & Frederick, 1997). It is not only a significant predictor of SWB and positive affect (Akın, 2012) but also enables individuals to engage more fully in learning and achieve excellent results (Yan et al., 2023). However, continuous stress can seriously erode an individual's vitality level (Miksza et al., 2021). For graduate students under chronic high pressure, enhancing vitality means providing a sustained internal power source for coping with challenges, serving as a marker of recovery from burnout and progression toward flourishing.

Research specifically on graduate students' SWB highlights its multifaceted nature. For example, a survey of postgraduate stomatology students found depressive symptoms associated with lower self-reported well-being (Zhang et al., 2024). Studies on Chinese doctoral students identified psychological capital and academic engagement as important influencing factors for their SWB (Cao et al., 2024), while social support for medical postgraduates affects their SWB through the mediating effect of anxiety (Huang et al., 2021). These findings collectively indicate that enhancing graduate students' SWB is a multifaceted key objective.

Hypnosis, an ancient yet evolving psychological intervention, is defined by the American Psychological Association Dictionary of Psychology (Second Edition; VandenBos, 2015) as "a procedure, or the state induced by that procedure, in which suggestion is used to evoke changes in sensation, perception, cognition, emotion, or control over motor behavior". Modern hypnosis has evolved into an intervention highly compatible with positive psychology, capable of systematically fostering well-being, meaning, and a fulfilling life through emotion regulation, enhanced executive attention, and the restructuring of positive mental imagery (Ruysschaert, 2014). Numerous empirical studies confirm its significant effects in improving psychosomatic symptoms. Meta-analyses show that hypnosis has moderate to high effect sizes for anxiety (particularly test anxiety), stress, and depressive symptoms (Fisch et al., 2020; Pachaiappan et al., 2023; Pang et al., 2024). In clinical medicine, systematic reviews indicate hypnosis can effectively alleviate various symptoms such as pain, nausea, and fatigue, improve depression, insomnia, and quality of life, with minimal reported adverse side effects (Franch et al., 2023).

Recently, hypnosis research has shown a trend of expanding from traditional pathological treatment towards positive psychological promotion. Emerging hypnosis interventions grounded in positive psychology principles have been shown to significantly enhance participants' SWB and positive affect (Na et al., 2022). Research also finds that hypnosis not only relieves pain but also significantly enhances well-being in patients with fibromyalgia and other conditions (Krackow et al., 2025; Ozgunay et al., 2024). Further reviews suggest hypnosis may be superior to traditional antidepressant treatments in terms of enhancing vitality (Pang et al., 2024). This paradigm shift is reflected in diversified applications, such as helping pregnant women shift their perception of childbirth from fear to positive anticipation (Betriana et al., 2025) and promoting self-care and relaxation experiences (Eaton et al., 2021). Direct evidence confirms hypnosis can effectively enhance SWB in specific populations, including patients with postoperative dysphagia (Finn & McKernan, 2019), the elderly in nursing homes (Bissonnette et al., 2025), and patients with ischemic heart disease (Suseno & Yuniarti, 2025). This shift from eliminating negative states to systematically constructing positive qualities provides a compelling empirical rationale for applying hypnosis to enhance graduate students' SWB.

Group hypnosis demonstrates unique advantages in university settings. Studies show it can effectively reduce anxiety among college students and perceived stress in healthy individuals (Fisch et al., 2020; Zhang et al., 2025). Its benefits are multifaceted. In terms of efficiency, a single session can serve multiple individuals, significantly reducing per-capita cost. Mechanistically, it facilitates physiological-psychological dual regulation. And experientially, relaxation guidance and visualization techniques enhance participants' immediate experience and compliance (Zhang et al., 2025). Crucially, hypnosis shows excellent integrative potential, enhancing the effectiveness of existing psychological interventions. Empirical research indicates hypnosis is more effective when combined with other interventions than when used independently (Valentine et al., 2019). Specifically, integrating hypnosis within a cognitive behavioral therapy (CBT) framework has shown notable advantages (Montgomery et al., 2017), with updated meta-analyses confirming its sustained positive effects as an enhancer of CBT for depressive mood and pain management (Ramondo et al., 2021).

Despite significant progress, scholars note that there remains much work to be done regarding the dissemination of effective interventions and our understanding of the mechanisms underlying observed effects (Montgomery et al., 2025), accurately reflecting the current state of the field. First, current hypnosis research is predominantly pathology-oriented, focusing largely on symptom relief and problem resolution across various conditions, such as anxiety (Pachaiappan et al., 2023), depression (Pang et al., 2024), pain (Milling et al., 2021), with insufficient attention to systematically enhancing SWB, life satisfaction and vitality in non-clinical populations. Second, research is progressively deepening the exploration of its mechanisms. A scoping review synthesizing 49 studies provided psychophysiological evidence that hypnosis commonly induces reduced sympathetic nervous system activity and/or increased parasympathetic tone, eliciting a physiological relaxation response (Fernandez et al., 2021), providing theoretical support for understanding how group hypnosis improves graduate students' exhaustion through physiological and psychological pathways. Third, there is a pronounced lack of hypnosis intervention studies specifically targeting the graduate student population. While existing studies confirm effects of hypnosis on college students, such as alleviating prolonged grief (Çınaroğlu et al., 2025), test anxiety (Hammer et al., 2020) and improving sleep (Snyder et al., 2023), these findings cannot be directly generalized to graduate students, who possess both high cognitive levels and special psychological vulnerabilities, confronting more complex academic, employment, and development pressures (Syropoulos et al., 2021). Cross-sectional studies also suggest the SWB of graduate students urgently needs enhancement (Bakhsh et al., 2024).

Based on this research background, this study proposes a group hypnosis integrated intervention with dual innovations. Theoretically, it shifts the research perspective from traditional pathological treatment to positive development promotion, specifically focusing on enhancing graduate students' vitality and life satisfaction. Practically, it responds to the urgent call from the academic community for "launching training and advocacy programs in universities to cultivate students' positive SWB" (Bakhsh et al., 2024), as well as policy recommendations for incorporating hypnosis into educational curricula (Pachaiappan et al., 2023; Wolf et al., 2025). By employing a rigorous randomized controlled trial design, this study aims not only to provide an innovative intervention protocol for graduate student mental health support but also to validate the effectiveness of hypnosis as a positive development tool in a non-clinical, high-stress student population. This investigation will provide crucial empirical evidence for the systematic introduction of hypnosis technology into higher education environments, potentially pioneering a new pathway for positive mental health education for graduate students.

METHODS

Ethical statement

This study has passed the ethical review conducted by the Department of Youth Work at China Youth University of Political Studies (Approval Number: CYU-2025-33). Informed consent was obtained from all participants before their involvement in the study.

Study design and recruitment

This study employed a randomized controlled, two-group (experimental vs. wait-list control), three-wave (pretest, posttest, one-month follow-up) design to evaluate the efficacy of the integrative group hypnosis intervention on SWB and its core components in graduate students.

Fifty-seven participants volunteered through campus recruitment. After screening, 4 individuals did not meet the inclusion criteria (e.g., being a counselor or faculty member rather than a graduate student), and 14 declined full participation. Ultimately, 39 eligible full-time graduate students were randomly assigned to either the experimental group (N = 19) or the wait-list control group (N = 20; Table 1). Inclusion criteria were: (1) Being a full-time enrolled graduate student; (2) voluntary participation and provision of informed consent. Exclusion criteria were: (1) A history of severe mental illness (e.g., schizophrenia, bipolar disorder) or ongoing related treatment; (2) contraindications for hypnotherapy (e.g., severe dissociative disorders). No participants dropped out during the study, resulting in a 0 attrition rate. Data from all 39 participants were included in the final analysis (Figure 1).

Figure 1

Figure 1. CONSORT flow diagram. CONSORT, consolidated standards of reporting trials.

Table 1: Demographic characteristics of participants (N = 39)
Characteristic Experimental group (N = 19) Control group (N = 20)
Gender (M/F) 4/15 6/14
Age (years) 24.00 ± 1.41 24.30 ± 1.69
M, male; F, female.

Intervention protocol

The experimental group received a 10-week, structured integrative group hypnosis intervention, consisting of one 120-minute session per week. Sessions were conducted in a quiet and comfortable group counseling room, facilitated by a certified hypnotherapist with over 30 years of psychological counseling experience.

This intervention program (Table 2) deeply integrated hypnotherapy, positive psychology, and the Satir Model, aiming to systematically enhance participants' SWB by constructing an internal safe base, integrating positive resources, and improving cognitive and coping patterns.

Table 2: Contents and structure of integrative group hypnosis intervention
Intervention module Hypnosis theme Integrated intervention and discussion Core objective
Session 1:
Foundation building & empowerment
Establishing an internal safe base & self-empowerment: (1) Guided establishment of a stable, safe internal mental space. (2) Implantation of three core positive self-suggestion keywords. Early experiences & psychological development: (1) Exploring the relationship between early upbringing experiences, psychological nourishment, and personality formation. (2) Enhancing self-awareness. To lay a safe, stable internal psychological foundation and initiate the self-empowerment process.
Session 2:
Establishing sense of control
Establishing internal locus of control & safety symbols: Constructing a personalized, controllable "personal vehicle" imagery as a symbolic tool for exploration and mastery. Analysis of psychological challenges in graduate studies: (1) Analyzing common challenges such as academic pressure and interpersonal anxiety. (2) Jointly exploring adaptive coping strategies. To acquire an internal sense of control through symbolic tools and learn strategies for dealing with external pressures.
Session 3:
Resource integration & communication initiation
Reviewing life journey & integrating positive resources: (1) Guided review of the "book of self-life". (2) Systematic review of personal history to extract and integrate resources of resilience, strength, and support. Satir communication stances theory: (1) Learning communication modes: Placating, blaming, super-reasonable, irrelevant. (2) Self-assessment of interpersonal patterns through activities to enhance interpersonal satisfaction. To integrate positive resources from personal history and gain initial awareness of interpersonal interaction patterns.
Session 4:
Emotion regulation & deepened awareness
Emotion regulation & anchoring an inner sanctuary: (1) Constructing "mind remote control" and "mind garden" imagery. (2) Learning to use anchoring techniques to quickly return to an inner place of peace. Application of the Satir iceberg model: (1) Learning the Iceberg model. (2) Conducting layered analysis of recent distressing events to promote deep understanding of one's own behaviors and emotions. To master rapid emotion regulation techniques and deepen self-understanding using the Iceberg model.
Session 5:
Enhancing initiative & meaning seeking
Strengthening executive function & addressing procrastination: Using the story metaphor of "the decisive little lion" to enhance decisiveness and initiative when facing tasks. Exploring meaning in life & values: (1) Discussing life meaning, values, and perspectives on time, incorporating cultural context (e.g., Qingming Festival). (2) Alleviating academic anxiety from a macro perspective. To directly address academic procrastination and enhance the sense of meaning behind actions through values exploration.
Session 6:
Accepting pace & deepening communication
Accepting personalized growth pace & energy accumulation: Using the positive metaphor of "moso bamboo growth" to reinforce acceptance and trust in one's unique developmental rhythm. Consistent communication practice: (1) Integrating communication stances with the Iceberg model for consistent communication practice. (2) Enhancing authenticity and effectiveness in interpersonal interactions. To alleviate peer pressure and translate theory into effective interpersonal communication practice.
Session 7:
Childhood empowerment & family tracing
Extracting & reconnecting with childhood positive resources: Using a time metaphor to return to the "childhood mind castle," extracting qualities like childhood curiosity, joy, and security to empower the present self. Analysis of family-of-origin interaction patterns: (1) Demonstrating and analyzing typical communication stances within families. (2) Exploring the impact of family-of-origin interaction patterns on current psychological state. To connect with childhood positive resources and delve into their connection with current family patterns.
Session 8:
Building support systems
Constructing an ideal support system & activating family resources: Constructing an "ideal inner home" imagery, inviting important family members (symbolically or actual) to join, internalizing the support and strength of the family system. Drawing a family map & resource identification: (1) Learning to draw a family map. (2) Identifying resources and dynamics within the family, further consolidating and feeling family support. To co-construct and strengthen the internal family support system, both experientially and cognitively.
Session 9:
Strengthening autonomy & nature connection
Strengthening autonomy & self-belief: Engaging in a "submarine deep-sea journey," symbolizing exploration in the depths of the subconscious, reinforcing the belief that "i hold the steering wheel of my life." Awareness practice in nature: (1) Walking and practicing awareness in a natural environment. (2) Learning to draw peace and energy from the present moment and nature. To strengthen the internal sense of autonomy and self-belief, and learn to draw resources from the external environment.
Session 10:
Holistic integration & outlook
Integrating overall resources & consolidating positive self-identity: (1) Using the powerful integrating metaphor of "seven stars aligning" to systematically link and fuse all internal and external resources accumulated in the previous nine sessions. (2) Finally anchoring the core positive identity of "the one and only unique self in the world." Intervention process summary & future planning: (1) Conducting a summative review and sharing of the entire intervention journey. (2) Consolidating all gains and formulating positive intentions for future personal growth. To systematically integrate all intervention gains, consolidate a positive self-identity, and plan future growth directions.

The wait-list control group received no intervention during the same study period but completed the same battery of assessments at identical time points. Upon conclusion of the study, control group participants were offered the opportunity to participate in a group hypnosis experience as compensation.

Measures

Satisfaction with life scale (SWLS)

This 5-item scale is scored on a 7-point Likert scale (Diener, 1985). In the present study, it demonstrated good internal consistency across all time points, with Cronbach's α coefficients ranging from 0.837 to 0.921 in the control group and from 0.871 to 0.908 in the experimental group.

Subjective vitality scale (SVS)

This 7-item scale measures an individual's subjective sense of aliveness and energy using a 7-point Likert scale (Ryan & Frederick, 1997). The internal consistency in this study was high, with all Cronbach's α coefficients above 0.85 for both the control (pretest α = 0.871, posttest α = 0.856, follow-up α = 0.870) and experimental groups (pretest α = 0.880, posttest α = 0.941, follow-up α = 0.892).

The positive and negative affect scale (PANAS)

This 20-item measure uses a 5-point scale and consists of two independent subscales designed to assess positive and negative affect (Watson et al., 1988). In this study, both subscales showed good reliability. The positive affect subscale had Cronbach's α coefficients ranging from 0.852 to 0.935. The negative affect subscale showed coefficients ranging from 0.727 to 0.940, all values were above 0.80 except for one time point in the experimental group (α = 0.727, which is within the acceptable threshold).

SWB measurement

Based on the conceptual framework of SWB (Diener, 1994), this study measured the construct using the SWLS (Diener, 1985) and PANAS (Watson et al., 1988). SWB was operationally defined as a composite index comprising one cognitive dimension and two emotional dimensions. The standardized SWB score was calculated using the following formula: Standardized life satisfaction total score + standardized positive affect total score - standardized negative affect total score.

Data analysis

Data were analyzed using SPSS 31 (IBM, Armonk, United States). Descriptive statistics were first conducted, followed by repeated measures analysis of variance (ANOVA) and post hoc tests. The analysis focused on the "time × group" interaction effect to compare differences in score trajectories across the three time points and between the two groups.

The primary outcome measure was SWB (composite score). Secondary outcome measures included positive affect, negative affect, subjective vitality, and life satisfaction. Statistical significance levels are indicated as: *P < 0.05, **P < 0.01, ***P < 0.001.

RESULTS

Descriptive statistical analysis

To comprehensively understand the changing trends of variables across the pre-intervention, post-intervention, and follow-up periods, this study first conducted descriptive statistical analyses on the mean, standard deviation, skewness, and kurtosis of each variable at the three time points (Table 3).

Table 3: Descriptive statistics of each variable at pretest, posttest, and follow-up (N = 39)
Group M SD Skew Kur
Experiment group
    Positive affect
        Pretest 28.68 8.45 0.151 0.328
        Posttest 38.58 5.95 0.156 -1.462
        Follow-up 29.79 6.55 0.381 -0.480
    Negative affect
        Pretest 19.53 5.53 0.179 -0.548
        Posttest 12.79 3.03 0.922 0.156
        Follow-up 18.58 7.03 1.017 1.002
    Subjective vitality
        Pretest 31.95 7.25 0.508 -0.967
        Posttest 37.37 7.29 -0.517 -1.025
        Follow-up 33.47 6.57 0.008 -0.978
    Life satisfaction
        Pretest 21.11 5.65 0.131 -1.582
        Posttest 25.37 5.33 0.032 -0.251
        Follow-up 23.63 5.22 -0.418 -1.000
    Subjective well-being
        Pretest -0.09 2.24 0.132 -1.094
        Posttest 1.44 1.60 0.079 -1.255
        Follow-up 0.15 2.48 -0.520 -0.092
Control group
    Positive affect
        Pretest 30.60 5.97 0.659 1.102
        Posttest 29.95 7.30 -0.111 0.004
        Follow-up 31.35 7.77 0.051 0.359
    Negative affect
        Pretest 20.35 7.58 0.731 -0.185
        Posttest 19.05 7.49 0.627 -1.124
        Follow-up 20.70 7.60 0.243 -1.535
    Subjective vitality
        Pretest 30.30 7.76 0.359 -0.527
        Posttest 31.80 6.32 0.701 0.248
        Follow-up 32.95 6.25 0.909 0.962
    Life satisfaction
        Pretest 21.30 5.81 1.169 1.807
        Posttest 21.10 5.37 0.795 1.244
        Follow-up 22.50 5.46 0.580 0.083
    Subjective well-being
        Pretest 0.08 1.99 0.594 -0.360
        Posttest -1.36 1.93 0.872 -0.335
        Follow-up -0.14 2.45 0.774 -0.074
M, Mean; SD, standard deviation; Skew, Skewness; Kur, Kurtosis.

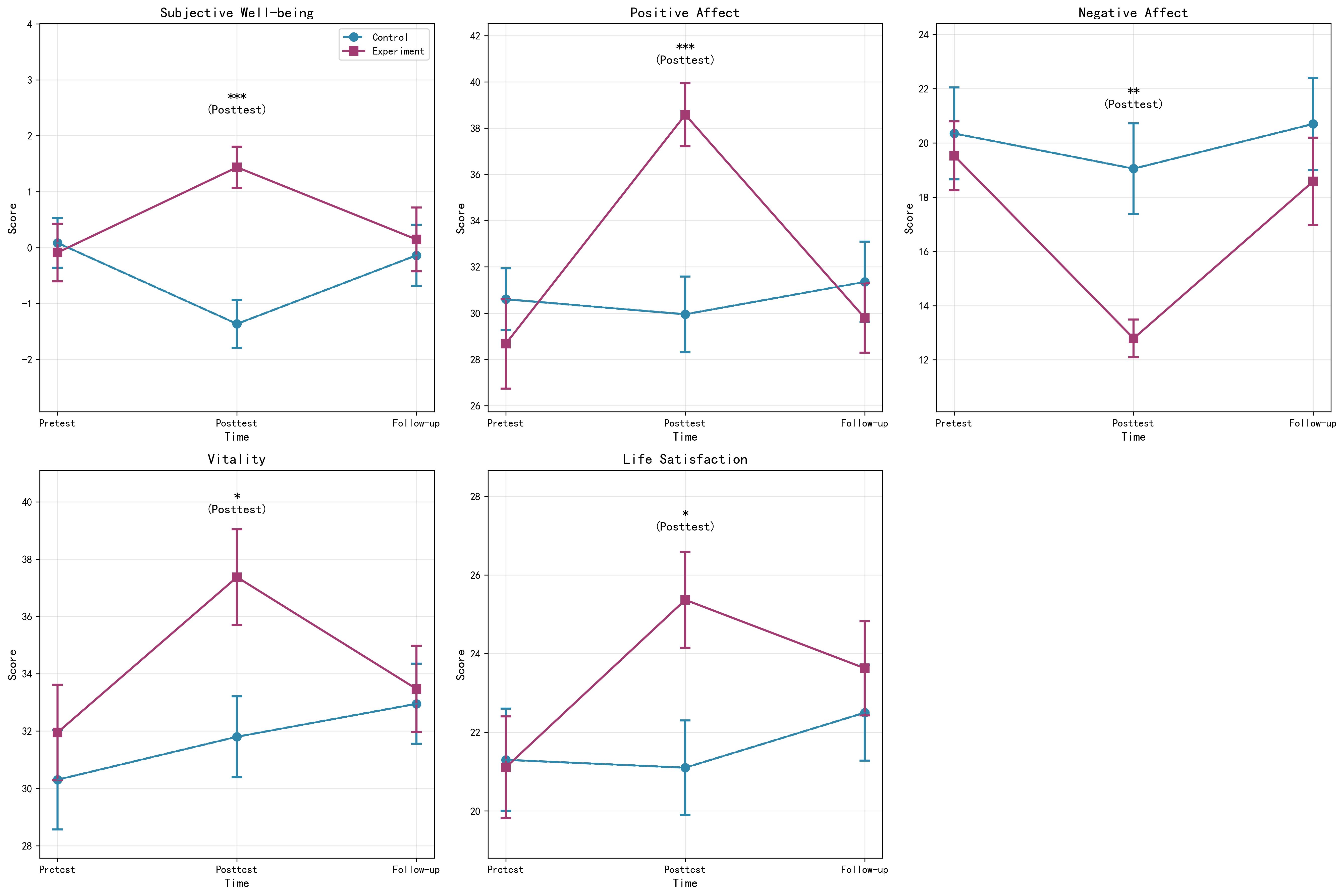
To visually present the changing trajectories of the main variables across the three time points for both groups, trend charts were created, as shown in Figure 2.

Figure 2

Figure 2. Trends of subjective well-being, positive emotions, negative emotions, life satisfaction and vitality at three time points (experimental group vs. control group).

Figure 2 clearly shows that the experimental group exhibited noticeable increases in all positive variables after the intervention (posttest), while negative affect decreased. The control group remained relatively stable. By the follow-up assessment, the experimental group's positive affect and SWB had declined, approaching baseline levels, while subjective vitality and life satisfaction remained somewhat elevated.

Between-group differences analysis

To further clarify the differences between the two groups at each time point, independent samples t-tests were conducted, as shown in Table 4.

Table 4: Independent samples t-test results between groups
Variable Pretest Posttest Follow-up
t P 95% CI t P 95% CI t P 95% CI
Positive affect -0.821 0.417 [-6.64, 2.81] 4.034 <0.001 [4.30, 12.96] -0.676 0.503 [-6.24, 3.12]
Negative affect -0.386 0.702 [-5.15, 3.50] -3.451 0.002 [-9.99, -2.53] -0.903 0.372 [-6.88, 2.64]
Subjective vitality 0.684 0.498 [-3.23, 6.53] 2.553 0.015 [1.15, 9.99] 0.255 0.800 [-3.64, 4.68]
Life satisfaction -0.106 0.916 [-3.92, 3.53] 2.491 0.017 [0.80, 7.74] 0.661 0.513 [-2.34, 4.60]
SWB -0.256 0.799 [-1.55, 1.20] 4.928 <0.001 [1.65, 3.95] 0.361 0.720 [-1.31, 1.88]
SWB, subjective well-being; CI, confidence interval.

Table 4 shows that at pretest, there were no significant differences between the two groups on any variable (all P > 0.05), indicating successful randomization. At posttest, the experimental group scored significantly higher than the control group on SWB (t = 4.928, P < 0.001), positive affect (t = 4.034, P < 0.001), subjective vitality (t = 2.553, P = 0.015), and life satisfaction (t = 2.491, P = 0.017), while scoring significantly lower on negative affect (t = -3.451, P = 0.002). By the follow-up assessment, most between-group differences were no longer significant, suggesting limited sustainability of the intervention effects.

Within-group changes analysis

To examine the internal changes within each group during and after the intervention, paired samples t-tests were conducted for both the experimental and control groups (Tables 5 and 6, respectively).

Table 5: Paired samples t-test results within the experimental group
Variable Pretest vs. posttest Pretest vs. follow-up Posttest vs. follow-up
M Diff t df M Diff t df M Diff t df
Positive affect -9.895 -4.400*** 18 -1.105 -0.541 18 8.789 3.558** 18
Negative affect 6.737 4.730*** 18 0.947 0.465 18 -5.789 -3.113** 18
Subjective vitality -5.421 -3.105** 18 -1.526 -0.659 18 3.895 1.497 18
Life satisfaction -4.263 -2.744* 18 -2.526 -1.441 18 1.737 1.046 18
SWB -1.525 -2.863* 18 -0.235 -0.322 18 1.290 1.796 18
*P < 0.05, **P < 0.01, ***P < 0.001. SWB, subjective well-being; M Diff, mean difference; df, degree of freedom.
Table 6: Paired samples t-test results within the control group
Variable Pretest vs. posttest Pretest vs. follow-up Posttest vs. follow-up
M Diff t df M Diff t df M Diff t df
Positive affect 0.650 0.308 19 -0.750 -0.313 19 -1.400 -0.564 19
Negative affect 1.300 0.528 19 -0.350 -0.138 19 -1.650 -0.868 19
Subjective vitality -1.500 -0.706 19 -2.650 -1.054 19 -1.150 -0.717 19
Life satisfaction 0.200 0.106 19 -1.200 -0.826 19 -1.400 -0.864 19
SWB 1.449 2.004 19 0.223 0.315 19 -1.226 -2.090 19
*P < 0.05, **P < 0.01, ***P < 0.001. SWB, subjective well-being; M Diff, mean difference; df, degree of freedom.

Table 5 shows that the experimental group demonstrated significant improvements from pretest to posttest on all variables (all P < 0.05), with particularly notable improvements in positive affect and negative affect (P < 0.001). However, from posttest to follow-up, positive affect (t = 3.558, P = 0.002) and negative affect (t = -3.113, P = 0.006) showed significant rebound, indicating that the intervention's effects on emotional states were time limited. In contrast, Table 6 shows that the control group exhibited no significant changes across all time-point comparisons, suggesting relative stability in their psychological states.

Repeated measures ANOVA of intervention effects

To examine whether the intervention effects were statistically significant, a repeated measures ANOVA with both between-subjects (group) and within-subjects (time) factors was conducted on the primary variables, with a focus on the "time × group" interaction effects (Table 7).

Table 7: Results of repeated measures ANOVA
Variable Group × time interaction
Positive affect F (2, 37) = 6.772, P = 0.002, η² = 0.155
Negative affect F (2, 37) = 1.856, P = 0.164, η² = 0.048
Subjective vitality F (2, 37) = 1.475, P = 0.235, η² = 0.038
Life satisfaction F (2, 37) = 1.900, P = 0.157, η² = 0.049
SWB F (2, 37) = 5.681, P = 0.005, η² = 0.133
SWB, subjective well-being; ANOVA, analysis of variance.

Table 7 reveals that the "time × group" interaction effects were significant for both SWB (F = 5.681, P = 0.005, η² = 0.133) and positive affect (F = 6.772, P = 0.002, η² = 0.155), indicating that the improvement trajectories of the experimental group on these variables differed significantly from those of the control group, with effect sizes ranging from medium to large. Although the interaction effects for negative affect, subjective vitality, and life satisfaction were not significant, the significant main effects for group or time suggest that the intervention may still have produced certain effects on these variables.

SWB (primary outcome)

Repeated measures ANOVA revealed a significant "time × group" interaction effect for SWB (F = 5.681, P = 0.005, η² = 0.133). Independent samples t-test indicated that the experimental group's SWB was significantly higher than the control group's at posttest (t = 4.928, P < 0.001). Paired t-test further confirmed that the experimental group showed significant improvement from pretest to posttest (t = -2.863, P = 0.010), while the control group showed no significant change. The integrative group hypnosis intervention demonstrated a medium to large effect size in enhancing postgraduate students' SWB, supporting the primary hypothesis.

Positive affect and negative affect

The "time × group" interaction effect was significant for positive affect (F = 6.772, P = 0.002, η² = 0.155). The experimental group's positive affect was significantly higher than the control group's at posttest (t = 4.034, P < 0.001), and the within-group improvement from pretest to posttest was significant (t = -4.400, P < 0.001). However, follow-up assessment showed a significant decline in positive affect (t = 3.558, P = 0.002), indicating that the intervention's effect on positive emotions was relatively transient.

The interaction effect for negative affect was not significant, but the experimental group's negative affect was significantly lower than the control group's at posttest (t = -3.451, P = 0.002), and the within-group decrease from pretest to posttest was significant (t = 4.730, P < 0.001). The rebound during the follow-up period (t = -3.113, P = 0.006) suggests that the improvement in negative affect also requires ongoing reinforcement.

Subjective vitality and life satisfaction

Although the interaction effects for subjective vitality and life satisfaction were not significant, the experimental group scored significantly higher than the control group on both variables at posttest (subjective vitality: t = 2.553, P = 0.015; life satisfaction: t = 2.491, P = 0.017), and showed significant within-group improvements from pretest to posttest (subjective vitality: t = -3.105, P = 0.006; life satisfaction: t = -2.744, P = 0.013). These findings suggest that the intervention may have initiated a deeper "construction" process through resource integration and cognitive restructuring, with improvement trends being more stable compared to emotional variables.

DISCUSSION

This randomized controlled trial demonstrated that a 10-week integrative group hypnosis intervention was effective in enhancing the SWB of Chinese graduate students. The primary outcome, SWB, showed a significant time × group interaction effect with a medium-to-large effect size (η² = 0.133), confirming the program's overall efficacy. Analysis of the secondary outcomes revealed a more nuanced pattern: While the intervention had a potent and immediate effect on boosting positive affect, this effect appeared transient, showing significant decline at the one-month follow-up. In contrast, improvements in cognitive and energy-related components (life satisfaction and subjective vitality) though not showing significant interaction effects, demonstrated significant within-group improvements and between-group advantages at posttest, suggesting a potentially more stable, albeit slower-building, benefit. The intervention also successfully reduced negative affect in the short term.

This differential response pattern suggests that the intervention may operate through dual pathways. An "expansive" emotional pathway and a "constructive" cognitive-energy pathway. The "expansive" pathway, likely driven by the immediate use of positive imagery and suggestions during hypnosis, rapidly amplifies positive emotional experiences by activating reward-related neural circuits (Fredrickson, 2001). However, without sustained practice, this state-like effect diminishes. Conversely, the "constructive" pathway may involve deeper cognitive restructuring, resource integration, and identity consolidation fostered across the intervention's later stages (e.g., values clarification, inner resource activation). This process, aligning with the principles of the integrated Satir Model, likely contributes to more enduring shifts in life satisfaction and vitality, which are less susceptible to short-term fluctuations.

Our findings are partially consistent with prior research, such as Fisch et al. (2020), confirming the general effectiveness of group hypnosis (Fisch et al., 2020). However, this study extends the existing literature by shifting the focus from pathology remediation (e.g., reducing anxiety or depression) to the promotion of positive qualities in a non-clinical, high-stress population. This aligns with the call from Montgomery et al. (2025) to expand the hypnosis research paradigm toward positive development (Montgomery et al., 2025).

Specifically, the robust effect on positive affect provides empirical support for Fredrickson's (2001) Broaden-and-Build theory within a hypnosis context (Fredrickson, 2001). The findings suggest that hypnosis can serve as a powerful tool to initiate the "broadening" process, creating momentary positive emotional states that can, within a structured program, begin to "build" more lasting personal resources. The significant, though less dramatic, improvements in life satisfaction and vitality resonate with studies linking these constructs to deeper cognitive evaluations and self-concordance (Diener et al., 1999; Ryan & Frederick, 1997), processes that our integrative intervention aimed to cultivate.

This study provides a viable, innovative, and efficient protocol for university mental health services aiming to foster positive development among graduate students. The group format makes it a cost-effective option. Integrating such programs into existing student support systems could represent a paradigm shift from reactive counselling to proactive well-being cultivation, helping students transition from a state of "burning out" to "flourishing".

Future research should address the key limitations of this study by pursuing several important directions. Firstly, studies with larger sample sizes are needed to enhance statistical power and generalizability. Secondly, longer follow-up periods are essential to track the long-term trajectory of the intervention's effects, particularly on cognitive and energy-related outcomes. To more rigorously ascertain the specific efficacy of the intervention, future trials should employ active control groups (such as mindfulness-based stress reduction or relaxation training) to account for non-specific effects like group support and facilitator attention. Finally, a deeper investigation into the underlying mechanisms is warranted, which would involve incorporating neurophysiological measures and assessing potential psychological mediators (e.g., self-compassion, cognitive flexibility) to elucidate how hypnotic interventions produce their effects.

CONCLUSIONS

In conclusion, this study provides robust evidence that a structured, integrative group hypnosis intervention is an effective means for enhancing SWB among graduate students. It demonstrates a rapid, state-like effect on boosting positive emotions and a more foundational, potentially longer-lasting impact on cognitive appraisals of life satisfaction and perceived energy levels. Despite the transient nature of the emotional boost, the program's overall positive effect underscores its value as a positive psychological intervention. This research offers a practical, evidence-based tool for educational institutions seeking to mitigate the mental health challenges prevalent in graduate education and to promote a culture of well-being and flourishing.

DECLARATION

Acknowledgement

None.

Author contributions

Ren W: Study design and Intervention, Participant recruitment and Data collection; Zhang P: Data Analysis, Writing—Original draft, Visualization; Sun P: Study guidance, Writing—Review and Editing.

Source of funding

This research received no external funding.

Ethical approval

This study has passed the ethical review conducted by the Department of Youth Work at China Youth University of Political Studies (Approval Number: CYU-2025-33).

Informed consent

Informed consent was gained from each participant before their participation.

Conflict of interest

Sun P is the Associate Editors-in-Chief of the journal. The article was subject to the journal's standard procedures, with peer review handled independently of the editor and the affiliated research groups.

Use of large language models, AI and machine learning tools

The authors declare that no large language models, artificial intelligence, or machine learning tools were used in the preparation or writing of this manuscript.

Data availability statement

The data will be available upon request from the corresponding author.

REFERENCES

  1. Akın, A. (2012). The relationships between internet addiction, subjective vitality, and subjective happiness. Cyberpsychology, Behavior and Social Networking, 15(8), 404-410. https://doi.org/10.1089/cyber.2011.0609
  2. Bakhsh, M. M., Wajidi, F. A., Billoo, T. A., Iftikhar, K. M., & Imtiaz, F. (2024). General well being among graduate and undergraduate students of business institute, Karachi: retrospective cross sectional study. Voyage Journal of Educational Studies, 4(1), 97-109. https://doi.org/10.58622/vjes.v4i1.125
  3. Betriana, F., Sunarno, S., Nurwidyaningtyas, W., & Ganefianty, A. (2025). A critical advantage of hypnobirthing to ameliorate antenatal depression: A systematic review and meta-analysis. Healthcare, 13(7), 705. https://doi.org/10.3390/healthcare13070705
  4. Bissonnette, J., Guertin, M. C., Pinard, A. M., Ogez, D., & Rainville, P. (2025). Music and hypnosis for well-being in retirement homes: A pilot study. American Journal of Clinical Hypnosis, 67(3), 244-261. https://doi.org/10.1080/00029157.2024.2435953
  5. Cao, F., Zhang, L., Li, M., & Xie, Z. (2024). Subjective well-being among PhD students in mainland China: The roles of psychological capital and academic engagement. Frontiers in Psychology, 15, 1354451. https://doi.org/10.3389/fpsyg.2024.1354451
  6. Çınaroğlu, M., Yılmazer, E., Ülker, S. V., & Çinar, F. (2025). Effects of ericksonian hypnotherapy versus cognitive behavioral therapy on prolonged grief among university students: A randomized clinical trial. International Journal of Clinical and Experimental Hypnosis, 1-28. https://doi.org/10.1080/00207144.2025.2464747
  7. Diener, E. (1984). Subjective well-being. Psychological Bulletin, 95(3), 542-575. https://doi.org/10.1037/0033-2909.95.3.542
  8. Diener, E. (1994). Assessing subjective well-being: Progress and opportunities. Social Indicators Research, 31(2), 103-157. https://doi.org/10.1007/BF01207052
  9. Diener, E. (2000). Subjective well-being: The science of happiness and a proposal for a national index. American Psychologist, 55(1), 34-43. https://doi.org/10.1037/0003-066X.55.1.34
  10. Diener, E., Emmons, R. A., Larsen, R. J., & Griffin, S. (1985). The satisfaction with life scale. Journal of Personality Assessment, 49(1), 71-75. https://doi.org/10.1207/s15327752jpa4901_13
  11. Diener, E., Oishi, S., & Lucas, R. E. (2003). Personality, culture, and subjective well-being: Emotional and cognitive evaluations of life. Annual review of psychology, 54, 403-425. https://doi.org/10.1146/annurev.psych.54.101601.145056
  12. Diener, E., Oishi, S., & Tay, L. (2018). Advances in subjective well-being research. Nature Human Behaviour, 2(4), 253-260. https://doi.org/10.1038/s41562-018-0307-6
  13. Diener, E., Suh, E. M., Lucas, R. E., & Smith, H. L. (1999). Subjective well-being: Three decades of progress. Psychological Bulletin, 125(2), 276-302. https://doi.org/10.1037/0033-2909.125.2.276
  14. Eaton, L. H., Beck, S. L., & Jensen, M. P. (2021). An audio-recorded hypnosis intervention for chronic pain management in cancer survivors: A randomized controlled pilot study. International Journal of Clinical and Experimental Hypnosis, 69(4), 422-440. https://doi.org/10.1080/00207144.2021.1951119
  15. Evans, T. M., Bira, L., Gastelum, J. B., Weiss, L. T., & Vanderford, N. L. (2018). Evidence for a mental health crisis in graduate education. Nature Biotechnology, 36(3), 282-284. https://doi.org/10.1038/nbt.4089
  16. Feng, R., Zhu, L., & Dong, Z. (2022). [Subjective well-being and its relationship with depressive symptoms among graduate students: A survey of 5011 students in a Beijing university]. Education Exploration, (1), 69-71.
  17. Fergusson, D. M., McLeod, G. H., Horwood, L. J., Swain, N. R., Chapple, S., & Poulton, R. (2015). Life satisfaction and mental health problems (18 to 35 years). Psychological Medicine, 45(11), 2427-2436. https://doi.org/10.1017/S0033291715000422
  18. Fernandez, A., Urwicz, L., Vuilleumier, P., & Berna, C. (2021). Impact of hypnosis on psychophysiological measures: A scoping literature review. American Journal of Clinical Hypnosis, 64(1), 36-52. https://doi.org/10.1080/00029157.2021.1873099
  19. Finn, M. T. M., & McKernan, L. C. (2019). Clinical hypnosis in postoperative, adult-onset dysphagia: A 2-year empirical case study. International Journal of Clinical and Experimental Hypnosis, 67(3), 297-312. https://doi.org/10.1080/00207144.2019.1612672
  20. Fisch, S., Trivaković-Thiel, S., Roll, S., Keller, T., Binting, S., Cree, M., Brinkhaus, B., & Teut, M. (2020). Group hypnosis for stress reduction and improved stress coping: A multicenter randomized controlled trial. BMC Complementary Medicine and Therapies, 20(1), 344. https://doi.org/10.1186/s12906-020-03129-6
  21. Franch, M., Alarcón, A., & Capafons, A. (2023). Applications of hypnosis as an adjuvant in oncological settings: A systematic review. International Journal of Clinical and Experimental Hypnosis, 71(1), 1-24. https://doi.org/10.1080/00207144.2022.2160255
  22. Fredrickson, B. L. (2001). The role of positive emotions in positive psychology: The broaden-and-build theory of positive emotions. American Psychologist, 56(3), 218-226. https://doi.org/10.1037/0003-066X.56.3.218
  23. Gambolò, L., Pireddu, R., D’Angelo, M., Ticozzi, E. M., Bellini, L., Solla, D., Fagoni, N., & Stirparo, G. (2025). Exploring mental health of Italian college students: A systematic review and meta-analysis. Discover Mental Health, 5(1), 91. https://doi.org/10.1007/s44192-025-00229-y
  24. Gloria, C. T., & Steinhardt, M. A. (2016). Relationships among positive emotions, coping, resilience and mental health. Stress and Health, 32(2), 145-156. https://doi.org/10.1002/smi.2589
  25. Guzmán, J., Green, J. G., Oblath, R., & Holt, M. K. (2020). Life satisfaction mediates the association between mental health risk and perceptions of school functioning among children and adolescents. Contemporary School Psychology, 24(4), 389-399. https://doi.org/10.1007/s40688-019-00257-w
  26. Hammer, C. M., Scholz, M., Bischofsberger, L., Paulsen, F., & Burger, P. H. M. (2020). Feasibility of clinical hypnosis for test anxiety in first-year medical students. International Journal of Clinical and Experimental Hypnosis, 68(4), 511-520. https://doi.org/10.1080/00207144.2020.1799379
  27. Hu, Q., Yang, N., Huang, Q., Cheng, C., Xiao, L., Gao, X., & Zhang, F. (2024). Mobile phone addiction and psychological capital mediates the relationship between life satisfaction and learning burnout in Chinese medical postgraduate students: A structural equation model analysis. Psychology Research and Behavior Management, 17, 3169-3180. https://doi.org/10.2147/PRBM.S466422
  28. Huang, Z., Zhang, L., Wang, J., Xu, L., Liu, Z., Wang, T., Guo, M., Xu, X., & Lu, H. (2021). Social support and subjective well-being among postgraduate medical students: The mediating role of anxiety and the moderating role of alcohol and tobacco use. Heliyon, 7(12), e08621. https://doi.org/10.1016/j.heliyon.2021.e08621
  29. Jin, Y., He, M., & Li, J. (2016). [The relationship between meaning in life and subjective well-being in China: A Meta-analysis]. Advances in Psychological Science, 24(12), 1854-1863.
  30. Kok, B. E., Coffey, K. A., Cohn, M. A., Catalino, L. I., Vacharkulksemsuk, T., Algoe, S. B., Brantley, M., & Fredrickson, B. L. (2013). How positive emotions build physical health: Perceived positive social connections account for the upward spiral between positive emotions and vagal tone. Psychological Science, 24(7), 1123-1132. https://doi.org/10.1177/0956797612470827
  31. Krackow, E., Rashed, J., & Thompson, I. (2025). Does hypnosis aid memory retrieval? : A review of steven jay Lynn's research. International Journal of Clinical and Experimental Hypnosis, 73(3), 381-390. https://doi.org/10.1080/00207144.2025.2508410
  32. Liu, M., Zhang, X., & Zhao, Y. (2019). [Survey of graduate students' achievement motivation and life satisfaction]. Academic Degrees & Graduate Education, (11), 50-55. https://doi.org/10.16750/j.adge.2019.11.009
  33. Liu, S., Song, M., & Teng, H. (2023). Postgraduates' time management disposition and mental health: Mediating role of life satisfaction and moderating role of core self-evaluations. BMC Psychology, 11(1), 316. https://doi.org/10.1186/s40359-023-01349-2
  34. Liu, Y. (2018). [An investigation and analysis of life satisfaction among full-time master's students]. Journal of Shanxi Institute of Energy, 31(3), 99-102.
  35. Miksza, P., Evans, P., & McPherson, G. E. (2021). Wellness among university-level music students: A study of the predictors of subjective vitality. Musicae Scientiae, 25(2), 143-160. https://doi.org/10.1177/1029864919860554
  36. Milling, L. S., Valentine, K. E., LoStimolo, L. M., Nett, A. M., & McCarley, H. S. (2021). Hypnosis and the alleviation of clinical pain: A comprehensive meta-analysis. International Journal of Clinical and Experimental Hypnosis, 69(3), 297-322. https://doi.org/10.1080/00207144.2021.1920330
  37. Montgomery, G. H., Green, J. P., Apelian, C., Zahedi, A., Polizzi, C. P., Terhune, D. B., & Lynn, S. J. (2025). Hypnosis at the crossroads: A primer of the past and visions for the future. International Journal of Clinical and Experimental Hypnosis, 73(3), 342-380. https://doi.org/10.1080/00207144.2025.2508407
  38. Montgomery, G. H., Sucala, M., Dillon, M. J., & Schnur, J. B. (2017). Cognitive-behavioral therapy plus hypnosis for distress during breast radiotherapy: A randomized trial. American Journal of Clinical Hypnosis, 60(2), 109-122. https://doi.org/10.1080/00029157.2017.1335635
  39. Na, H., Ekanayake, V., Padilla, V., & Elkins, G. R. (2022). Pilot study of hypnotic relaxation therapy for well-being (HRT-WB): A new intervention to enhance well-being and positive affect. International Journal of Clinical and Experimental Hypnosis, 70(4), 328-349. https://doi.org/10.1080/00207144.2022.2124375
  40. Ozgunay, S. E., Kasapoglu Aksoy, M., Deniz, K. N., Onen, S., Onur, T., Kilicarslan, N., Eminoglu, S., & Karasu, D. (2024). Effect of hypnosis on pain, anxiety, and quality of life in female patients with fibromyalgia: Prospective, randomized, controlled study. International Journal of Clinical and Experimental Hypnosis, 72(1), 51-63. https://doi.org/10.1080/00207144.2023.2277853
  41. Pachaiappan, S., Tee, M. Y., & Low, W. Y. (2023). Hypnosis interventions for reducing test anxiety among students: A systematic review. Cogent Psychology, 10(1), 2281745. https://doi.org/10.1080/23311908.2023.2281745
  42. Pang, J. W. V., Subramaniam, P., Amit, N., Wahab, S., & Moustafa, A. A. (2024). Hypnotherapy as treatment for depression: A scoping review. International Journal of Clinical and Experimental Hypnosis, 72(2), 155-188. https://doi.org/10.1080/00207144.2024.2317193
  43. Ramondo, N., Gignac, G. E., Pestell, C. F., & Byrne, S. M. (2021). Clinical hypnosis as an adjunct to cognitive behavior therapy: An updated meta-analysis. International Journal of Clinical and Experimental Hypnosis, 69(2), 169-202. https://doi.org/10.1080/00207144.2021.1877549
  44. Ruysschaert N. (2014). The use of hypnosis in therapy to increase happiness. The American journal of clinical hypnosis, 56(3), 269–284. https://doi.org/10.1080/00029157.2013.846845
  45. Ryan, R. M., & Frederick, C. (1997). On energy, personality, and health: Subjective vitality as a dynamic reflection of well-being. Journal of Personality, 65(3), 529-565. https://doi.org/10.1111/j.1467-6494.1997.tb00326.x
  46. Shen, C. (2020). [Current status, problems and countermeasures of emotional intelligence education for postgraduate students]. Journal of Higher Education, (31), 54-57. https://doi.org/10.19980/j.cn23-1593/g4.2020.31.015
  47. Snyder, M., Alldredge, C. T., Stork, S. R., & Elkins, G. R. (2023). Feasibility of a self-administered hypnosis intervention for improving sleep in college students. International Journal of Clinical and Experimental Hypnosis, 71(4), 297-312. https://doi.org/10.1080/00207144.2023.2249047
  48. Suseno, B., & Yuniarti, K. W. (2025). Hypnosis for enhancing subjective well-being in ischemic heart diseases: A feasibility study. American Journal of Clinical Hypnosis, 67(4), 361-377. https://doi.org/10.1080/00029157.2025.2517170
  49. Syropoulos, S., Wu, D. J., Burrows, B., & Mercado, E. (2021). Psychology doctoral program experiences and student well-being, mental health, and optimism during the COVID-19 pandemic. Frontiers in Psychology, 12, 629205. https://doi.org/10.3389/fpsyg.2021.629205
  50. Valentine, K. E., Milling, L. S., Clark, L. J., & Moriarty, C. L. (2019). THE EFFICACY OF HYPNOSIS AS A TREATMENT FOR ANXIETY: A META-ANALYSIS. The International journal of clinical and experimental hypnosis, 67(3), 336–363. https://doi.org/10.1080/00207144.2019.1613863
  51. VandenBos, G. R. (Ed.). (2015). APA dictionary of psychology (2nd ed.). American Psychological Association.
  52. Wang, P., Xiong, Z., & Yang, H. (2018). Relationship of mental health, social support, and coping styles among graduate students: Evidence from Chinese universities. Iranian Journal of Public Health, 47(5), 689-697.
  53. Wan, Z., & Chen, S. (2021). [Influence of psychological strengths on life satisfaction among university students: Mediating roles of self-efficacy and coping styles]. Sichuan Mental Health, 34(3), 247-251.
  54. Watson, D., Clark, L. A., & Tellegen, A. (1988). Development and validation of brief measures of positive and negative affect: The PANAS scales. Journal of Personality and Social Psychology, 54(6), 1063-1070. https://doi.org/10.1037/0022-3514.54.6.1063
  55. Wolf, T. G., Kellerhoff, K. N., Schmalz, G., & Schmierer, A. (2025). Application and perception of hypnosis in dental practice: A cross-sectional survey in German-speaking regions. International Journal of Clinical and Experimental Hypnosis, 73(2), 214-224. https://doi.org/10.1080/00207144.2025.2469846
  56. Yan, W., Jiang, Z., Zhang, P., Liu, G., & Peng, K. (2023). Mindfulness practice versus physical exercise in enhancing vitality. International Journal of Environmental Research and Public Health, 20(3), 2537. https://doi.org/10.3390/ijerph20032537
  57. Yu, G., & Wang, X. (2024). [Basic conditions and educational countermeasures of mental health problems in Chinese graduate students]. China Higher Education Research, (7), 80-87. https://doi.org/10.16298/j.cnki.1004-3667.2024.07.12
  58. Zhou, J., Sun, P., & Yang, L. (2015). [Medical students multidimensional life satisfaction on and analysis of the impact of mental health]. Chongqing medicine, 44(5), 681-683.
  59. Zhang, Y., Jia, Y., MuLaTiHaJi, M., Mi, Y., Mei, Y., Sun, T., Shi, H., Zhang, Y., Zhang, Y., Zou, R., Niu, L., & Dong, S. (2024). A cross-sectional mental-health survey of Chinese postgraduate students majoring in stomatology post COVID-19 restrictions. Frontiers in Public Health, 12, 1376540. https://doi.org/10.3389/fpubh.2024.1376540
  60. Zhang, Z., Li, Z., Ma, Y., Zheng, M., Wang, Y., Tan, W, Li, Z., & Ho, R. (2025). Group hypnosis intervention on anxiety among college students. Applied & Educational Psychology, 6(1), 49-56. https://doi.org/10.23977/appep.2025.060108
  61. Zhao, Y., Wang, H., Yin, H., & Zhang, X. (2020). [Emotional intelligence and life satisfaction of master’s students: Multiple mediating effects of attribution for social success and failure]. Journal of Higher Education, (8), 38-40. https://doi.org/10.19980/j.cn23-1593/g4.2020.08.013