ABSTRACT

Interval training in school settings has been shown to improve adolescent physical fitness; however, the optimal work-to-rest ratios (WRRs) for maximizing benefits across various fitness components remain unclear. This study aimed to assess the impact of school-based interval jump rope training (IJRT) with three different WRRs on physical fitness in adolescents aged 12 to 14 years and to identify the most effective WRRs. A cluster randomized controlled trial was conducted with 143 adolescents (mean age = 12.8 ± 0.5 years; 72 females) from a middle school in Shenzhen, China. Participants were randomly assigned to one of three groups based on their class: 30 seconds/30 seconds (G1, N = 48), 30 seconds/45 seconds (G2, N = 47), and 30 seconds/15 seconds (G3, N = 48) WRRs. Each group participated in IJRT three times per week for 8 weeks. Physical fitness parameters, including maximal oxygen uptake (VO2max), grip strength, standing long jump, sit-ups, and 50-meter sprint performance, were measured pre- and post-intervention. Between-group differences were analyzed using analysis of covariance. The results demonstrated that the G2 (30 seconds/45 seconds) was more effective than the G1 (30 seconds/30 seconds) and G3 (30 seconds/15 seconds) in enhancing adolescents’ cardiorespiratory endurance and sprint performance.

Key words: high-intensity interval training, jump rope, cardiorespiratory fitness, musculoskeletal fitness, adolescents

INTRODUCTION

Maintaining a high level of physical fitness during adolescence provides a wide range of benefits, including short-term improvements in physical and cognitive functions, as well as long-term health outcomes such as reduced risks of cardiovascular disease, obesity, and type 2 diabetes (Yang et al., 2020). Achieving and maintaining good physical fitness requires regular physical activity; however, due to competing demands such as academic workload, adolescents’ activity levels decline during this critical developmental stage (Blüher et al., 2017), with more than 80% failing to meet the World Health Organization’s (WHO) recommendation of engaging in an average of 60 min of moderate-to-vigorous physical activity (MVPA) daily (Bull et al., 2020; Guthold et al., 2020).

Given that adolescents spend a substantial amount of time at school and that schools are equipped with the necessary infrastructure and personnel, they present an optimal and scalable environment for the implementation of physical activity interventions (Booth & Okely, 2005). Interval training involves repeated short-to-long bouts of rather high-intensity exercise interspersed with recovery periods (Buchheit & Laursen, 2013); School-based interval training interventions have been shown to positively impact adolescent physical fitness (Duncombe et al., 2022). However, the effectiveness of training is determined by various factors, such as workout duration, intensity, and work-to-rest ratio (WRR), Despite the wide range of protocols explored in existing research, the precise effects of these factors on intervention outcomes remain undefined (Cao et al., 2021).

Interval jump rope training (IJRT) is emerging as an increasingly popular approach due to its convenience, cost-effectiveness, and minimal space requirements (Baumgartner et al., 2020). It has been shown to improve various aspects of physical fitness, including cardiovascular endurance, muscular strength, coordination, and agility (Zhao et al., 2023). Additionally, the rhythmic nature of jump rope training (JRT), facilitated by music, helps regulate jump frequency, thereby enhancing both engagement and enjoyment (Karageorghis & Priest, 2012). Existing school-based IJRT interventions have demonstrated benefits for adolescent physical fitness. However, no studies have yet explored the optimal WRR for maximizing improvements across various fitness components.

The purpose of this study is to compare the effects of three different WRRs in interval jump training on physical fitness in adolescents, and to identify the most effective WRR for maximizing improvements in physical fitness.

METHODS

Study design and recruitment

This study employed a cluster randomized controlled trial design, conducted at Middle School in Shenzhen, China; the research involved three classes of first-year students aged 12-14 years. The study spanned from April to July 2023 and was divided into four phases: recruitment, pre-test, intervention, and post-test.

Before recruitment, both students and their parents or legal guardians were informed of the study’s purpose, and written consent was obtained. Participants’ physical conditions were evaluated using the Physical Activity Readiness Questionnaire (PAR-Q), and guardians confirmed the absence of health issues (Warburton et al., 2006). Eligibility criteria included: (1) signed informed consent forms; (2) non-student-athletes; (3) no physical limitations to exercise (e.g., cardiac abnormalities, hypertension, diabetes, orthopedic, or neuromuscular disorders); and (4) no participation in other after-school exercise or training programs during the study.

Participants were randomly divided into three intervention groups based on class using computer-generated random numbers : G1 (N = 48, 12.7 ± 0.5 years; 22 males), G2 (N = 47, 12.9 ± 0.4 years; 27 males), and G3 (N = 48, 12.8 ± 0.6 years; 23 males). The intervention phase began with a 2-week pre-experiment period, followed by 6 weeks of formal training. Both phases were integrated into the regular class schedule, with training sessions occurring three times per week for 21-25 min per session. Participants wore heart rate monitors during all sessions to ensure accurate tracking of physiological responses. Pre-tests were conducted three days before the intervention (week 0) and post-tests three days after (week 8). The study adhered to the Declaration of Helsinki guidelines and was approved by the Medical Ethics Committee of the Department of Medicine at Shenzhen University (PN-2020-045). The study design and participant flow are shown in Figure 1.

Figure 1

Figure 1. CONSORT flow diagram. CONSORT: Consolidated Standards of Reporting Trials

Sample size

The sample size was determined using G* Power software (Version 3.1, Düsseldorf, Germany), based on effect size data from previous studies on maximal oxygen uptake (VO2max) in adolescents (d = 1.05; Racil et al., 2016). With a Type I error rate of 0.05, a power of 80%, and a two-tailed significance level of 0.05, it was calculated that 12 participants per group would be required to detect a significant difference. To account for an anticipated dropout rate of 20%, a total of 45 participants were deemed necessary to ensure sufficient statistical power.

Cardiorespiratory fitness (CRF)

CRF was assessed using the 20-meter shuttle run test (20-mSRT), a validated method for evaluating CRF (Batista et al., 2013). Participants ran back and forth between two markers set 20 meters apart, following the pace set by audio signals. The test began at a speed of 8.0 km/h, with the pace increasing by 0.5 km/h every minute. Participants were instructed to reach the marker by the time the audio signal sounded. The test continued until the participant failed to reach the marker twice in a row at the required time, indicating he or she could no longer maintain the pace. At this point, the test was stopped, and the number of laps completed was recorded by trained researchers. VO2max (mL/kg/min) was then calculated using the formula: VO2max = 41.76799 + (0.49261 × laps) - (0.00290 × laps²) - (0.61613 × BMI) + (0.34787 × gender × age), where gender is coded as 1 for male and 0 for female, and age is expressed in years (Mahar et al., 2011).

Body composition

Body composition measurements were conducted between 8:00 and 10:00 a.m. after a 10-hour fast. Height (in centimeters) was measured using a wall-mounted scale with participants barefoot. Body composition parameters—body mass (BM), body fat mass (BF), body fat percentage (%BF), and muscle mass (MM)—were assessed using bioelectrical impedance analysis (BIA, InBody230, Biospace Co., Ltd, Seoul, Korea), which has been validated against doubly labeled water (Beato et al., 2019) and dual-energy X-ray absorptiometry (Karelis et al., 2013). Body mass index (BMI) was calculated as weight (kg) divided by height squared (m²). Each measurement was taken twice, and the average of the two readings was used to ensure reliability.

Hand grip strength

Hand grip strength was measured using a digital strain-gauge dynamometer (EH-101, Xiangshan, Guangzhou, China; Marković et al., 2020). Participants stood in a standard bipedal position with arms fully extended and feet hip-width apart. The dynamometer was adjusted to fit each participant’s hand size. Participants were asked to use their dominant hand to squeeze the handle as forcefully as possible for approximately 3 seconds. Two trials were performed with a 30-second rest interval between attempts, and the highest value, recorded in kilograms to the nearest 0.1 kg, was used for analysis.

Explosive power

Explosive power was assessed using the standing long jump test (SLJ; Vigh-Larsen et al., 2018). Participants performed the test on a marked surface using a SLJ tester (JH-1771, Jihao, Changzhou, China). To execute the jump, participants stood with feet shoulder-width apart, bent their knees, and swung their arms before jumping as far forward as possible. Each participant was allowed three attempts, with the maximum distance achieved recorded to the nearest centimeter for data analysis.

Speed

The 50-meter sprint test (50-mST) was used to assess participants’ speed (Sang & Wang, 2022). Timing was recorded automatically using an infrared system with a precision of 0.01 seconds (CSTF-FH, Tongfang Co., Ltd., China). Participants started from a standing position and sprinted to cross the finish line, which triggered the timer to stop. Each participant performed two trials, with the best time recorded in seconds for data analysis.

Core muscular endurance

Sit-ups were used to assess core muscular endurance in both males and females (Bianco et al., 2015). Participants lay on a cushion with their knees bent at a right angle, feet flat on the ground, and hands placed against their ears. The movement involved contracting the abdominal muscles to lift the torso until the elbows touched the knees, followed by returning to the starting position. This constituted one complete sit-up. Participants were instructed to keep their hips on the ground and ensure that both shoulder blades touched the ground in the lying position. The number of successful repetitions completed in 1 min was counted by trained research assistants.

IJRT protocols

The intervention phase began with a 2-week pre-experiment period, during which a cadence of 120 repetitions per minute at high intensity (≥ 80% maximal heart rate percentage [HRmax]) was established. Average heart rate (HRave) and total energy expenditure (EE) were monitored during each session using Polar Team Pro System chest belt monitors (Polar Team Oh1, Polar, Kemele, Finland), revealing no significant differences in these parameters among the groups.

The training protocol was integrated into Physical Education (PE) classes, conducted three times per week, and consisted of three parts [Table 1]. A five minutes warm-up of continuous jogging (40%-60% HRmax) was followed by dynamic stretching. The JRT with different WRR. After training, a five minutes cool-down of static stretching.

Table 1: Interval jump rope training (IJRT) protocols
Group WRR Intensity
(Rep/min)
Training duration
Warm-up
(5 min)
Exercise
(11-15 min)
Cool-down
(5 min)
G1 30 s/30 s 120 jogging and dynamic stretching 2 sets of 6×30 s jump rope separated by 30 s recovery
1 min rest between sets
static stretching
G2 30 s/45 s 120 1 set of 12×30 s jump rope separated by 45 s recovery
G3 30 s/20 s 120 3 sets of 4×30 s jump rope separated by 20 s recovery
1 min rest between sets
IJRT: Interval jump rope training; WRR: work-to-rest ratios.

Statistical analysis

All statistical analyses were performed using SPSS version 26.0 (SPSS Inc., Chicago, IL, USA). Descriptive statistics are reported as mean ± standard deviation (SD). The normality of the data distribution was checked using the Kolmogorov-Smirnov test. Paired sample t-tests were used to evaluate within-group changes from baseline to post-intervention. For between-group comparisons, one-way analysis of covariance (ANCOVA) was performed with baseline values as covariates (Wan, 2021). The effect size was quantified using partial eta squared (η²), with thresholds of 0.01, 0.06, and 0.14 representing small, medium, and large effects, respectively (Richardson, 2011). Statistical significance was set at P < 0.05.

RESULTS

As illustrated in Figure 1, 147 students were assessed for eligibility, with 143 ultimately consenting to participate. Four students were excluded due to not meeting the inclusion criteria (N = 3) or declining to participate (N = 1). The remaining 143 students were allocated by class into three groups: 48 to G1, 47 to G2, and 48 to G3. During the follow-up period, 7 participants from G1, 8 from G2, and 7 from G3 withdrew due to time constraints. Additionally, 4 participants from G1, 8 from G2, and 4 from G3 did not complete the post-test. In G3, 8 participants also reported medication-related events. Ultimately, 92 participants completed the study, with 37 from G1, 31 from G2, and 24 from G3, and their data were included in the final analysis. Table 2 presents the baseline characteristics of the participants. Significant differences were observed in BF, %BF, SLJ, grip strength, and the 50-mST (P < 0.05).

Table 2: Baseline characteristics of three groups
Indicators G1 (N = 37) G2 (N = 31) G3 (N = 24) P-value
Boys (N) 17 18 19
Age (y) 12.7 ± 0.5 12.9 ± 0.4 12.8 ± 0.6 0.197
BM (kg) 51.8 ± 7.9 55.7 ± 12.2 57.4 ± 13.9 0.123
BMI (kg/m2) 19.5 ± 2.5 20.1 ± 3.6 21.6 ± 4.1 0.057
BF (kg) 11.9 ± 4.5 12.0 ± 6.1 16.8 ± 8.7 0.008*
%BF (%) 22.4 ± 6.7 20.9 ± 7.0 27.8 ± 9.2 0.003*
MM (kg) 21.5 ± 3.6 23.8 ± 4.9 22.0 ± 4.4 0.072
20-mRST (lap) 32.8 ± 13.4 36.4 ± 14.3 34.8 ± 11.6 0.535
VO2max (mL/kg/min) 44.3 ± 5.9 45.5 ± 6.2 42.6 ± 6.4 0.230
Grip (kg) 22.7 ± 4.7 26.5 ± 6.5 24.7 ± 6.2 0.024*
SLJ (cm) 181.0 ± 27.3 197.4 ± 24.0 170.6 ± 23.8 0.001*
Sit-ups (times) 37.9 ± 10.9 40.9 ± 8.4 41.6 ± 8.1 0.238
50-mST (s) 8.6 ± 0.8 8.1 ± 0.7 8.7 ± 0.9 0.011*
HRave (/s) 152.1 ± 7.1 151.2 ± 9.3 155.3 ± 4.5 0.106
%HRmax (%) 71.9 ± 3.9 71.0 ± 5.8 71.7 ± 4.1 0.891
EE (kcal) 157.8 ± 40.0 160.6 ± 39.9 162.8 ± 42.4 0.715
SD: standard deviation; BM: body mass; BMI: body mass index; BF: body fat; %BF: body fat percentage; MM: muscle mass; 20-mSRT: 20 meters shuttle run test; VO2max: maximal oxygen uptake; SLJ: standing long jumping; 50-mST: 50-meter sprint test; HRave: average heart rate; %HRmax: maximal heart rate percentage; EE: total energy expenditure.

As shown in Table 3, significant improvements were observed in VO2max, grip, SLJ, and sit-ups across all three groups after 8 weeks of IJRT (P < 0.05). Significant improvements in 50-mST performance were observed in G1 (P = 0.015, η² = 0.155) and G2 (P = 0.000, η² = 0.722), but not in G3. Reductions in BF were significant only in G1 (P = 0.072, η² = 0.129), while BMI decreased significantly only in G2 (P = 0.045, η² = 0.127).

Table 3: Statistical analysis results across three intervention groups
Indicators G1 (N = 37) G2 (N = 31) G3 (N = 24) F-value P-value ES (η2)
Pre Post Pre Post Pre Post
Δ (95% CI); P Δ (95% CI); P Δ (95% CI); P
BM
(kg)
51.7 ± 7.8 51.7 ± 7.7 55.7 ± 12.2 55.4 ± 12.2 57.4 ± 13.9 57.5 ± 14.0 1.731 0.183 0.038
-0.05 ± 0.72 (-0.29, 0.19); 0.01 -0.29 ± 0.80 (-0.59, 0); 0.12 0.09 ± 0.87 (-0.27, 0.46); 0.01
BMI
(kg/m2)
19.5 ± 2.4 19.5 ± 2.4 20.1 ± 3.6 20.0 ± 3.6b 21.6 ± 4.1 21.7 ± 4.1 1.857 0.162 0.041
-0.02 ± 0.27 (-0.11, 0.07); 0.01 -0.11 ± 0.28 (-0.21, -0.01); 0.13 0.04 ± 0.32 (-0.10, 0.18); 0.01
BF
(kg)
11.9 ± 4.5 11.6 ± 4.3b 12.0 ± 6.1 11.8 ± 5.9 16.8 ± 8.7 16.7 ± 8.7 1.396 0.253 0.031
-0.30 ± 0.78 (-0.56, -0.04); 0.13 -0.21 ± 0.86 (-0.53, 0.10); 0.06 -0.03 ± 1.06 (-0.48, 0.42); 0.01
%BF
(%)
22.4 ± 6.7 22.1 ± 6.8 20.9 ± 7.0 20.7 ± 6.9 27.8 ± 9.2 27.7 ± 9.1 0.377 0.687 0.008
-0.24 ± 1.90 (-0.88, 0.39); 0.02 -0.18 ± 1.40 (-0.69, 0.34); 0.02 -0.03 ± 1.78 (-0.78, 0.72); 0.01
MM
(kg)
21.5 ± 3.6 21.6 ± 3.7 23.8 ± 4.9 23.8 ± 5.1 22.0 ± 4.4 22.1 ± 4.5 1.291 0.280 0.029
0.15 ± 0.59 (-0.05, 0.34); 0.06 -0.04 ± 0.59 (-0.26, 0.18); 0.01 0.10 ± 0.59 (-0.15, 0.35); 0.03
VO2max
(mL/kg/min)
44.3 ± 5.9 46.3 ± 5.4a 45.5 ± 6.2 48.4 ± 5.6a 42.6 ± 6.4 44.3 ± 6.0a 9.669 0.000* 0.180
1.98 ± 1.52 (1.48, 2.49); 0.64 2.89 ± 1.54 (2.33, 3.46); 0.79 1.70 ± 1.15 (1.22, 2.19); 0.70
Grip
(kg)
22.7 ± 4.7 23.4 ± 4.7a 26.5 ± 6.5 27.4 ± 6.7b 24.7 ± 6.2 25.6 ± 5.6a 0.491 0.614 0.011
0.72 ± 1.20 (0.32, 1.12); 0.27 0.93 ± 2.05 (0.18, 1.68); 0.18 0.81 ± 1.41 (0.22, 1.41); 0.26
SLJ
(cm)
181.0 ± 27.3 186.1 ± 25.4a 197.4 ± 24.0 203.4 ± 22.8a 170.6 ± 23.8 175.0 ± 24.0a 1.585 0.211 0.035
5.14 ± 8.81 (2.20, 8.07); 0.26 6.00 ± 11.61 (1.74, 10.26); 0.22 4.38 ± 6.56 (1.61, 7.14); 0.32
Sit-ups
(n)
37.9 ± 10.9 43.1 ± 10.1a 40.9 ± 8.4 47.1 ± 7.4a 41.6 ± 8.1 45.4 ± 9.0a 1.425 0.246 0.031
5.19 ± 8.36 (2.40, 7.98); 0.28 6.26 ± 4.63 (4.56, 7.96); 0.65 3.63 ± 3.40 (2.19, 5.06); 0.54
50-mST
(s)
8.6 ± 0.8 8.4 ± 0.7b 8.1 ± 0.7 7.7 ± 0.6a 8.7 ± 0.9 8.6 ± 0.9 10.309 0.000* 0.190
-0.19 ± 0.46 (-0.35, -0.04); 0.16 -0.47 ± 0.30 (-0.58, -0.36); 0.72 -0.13 ± 0.47 (-0.33, 0.07); 0.07
Δ: the difference between post-test and pre-test values; 95% CI: the 95% confidence interval for the difference in scores; P: the statistical significance of within-group pre-post differences; ES, effect size; BM, body mass; BMI, body mass index; BF, body fat; %BF, body fat percentage; MM, muscle mass; 20-mSRT, 20 meters shuttle run test; VO2max, maximal oxygen uptake; SLJ, standing long jumping; 50-mST, 50-meter sprint test; a Compared with corresponding Pre value, P < 0.01; b Compared with corresponding Pre value, P < 0.05; * Significantly different between-group value, P < 0.05.

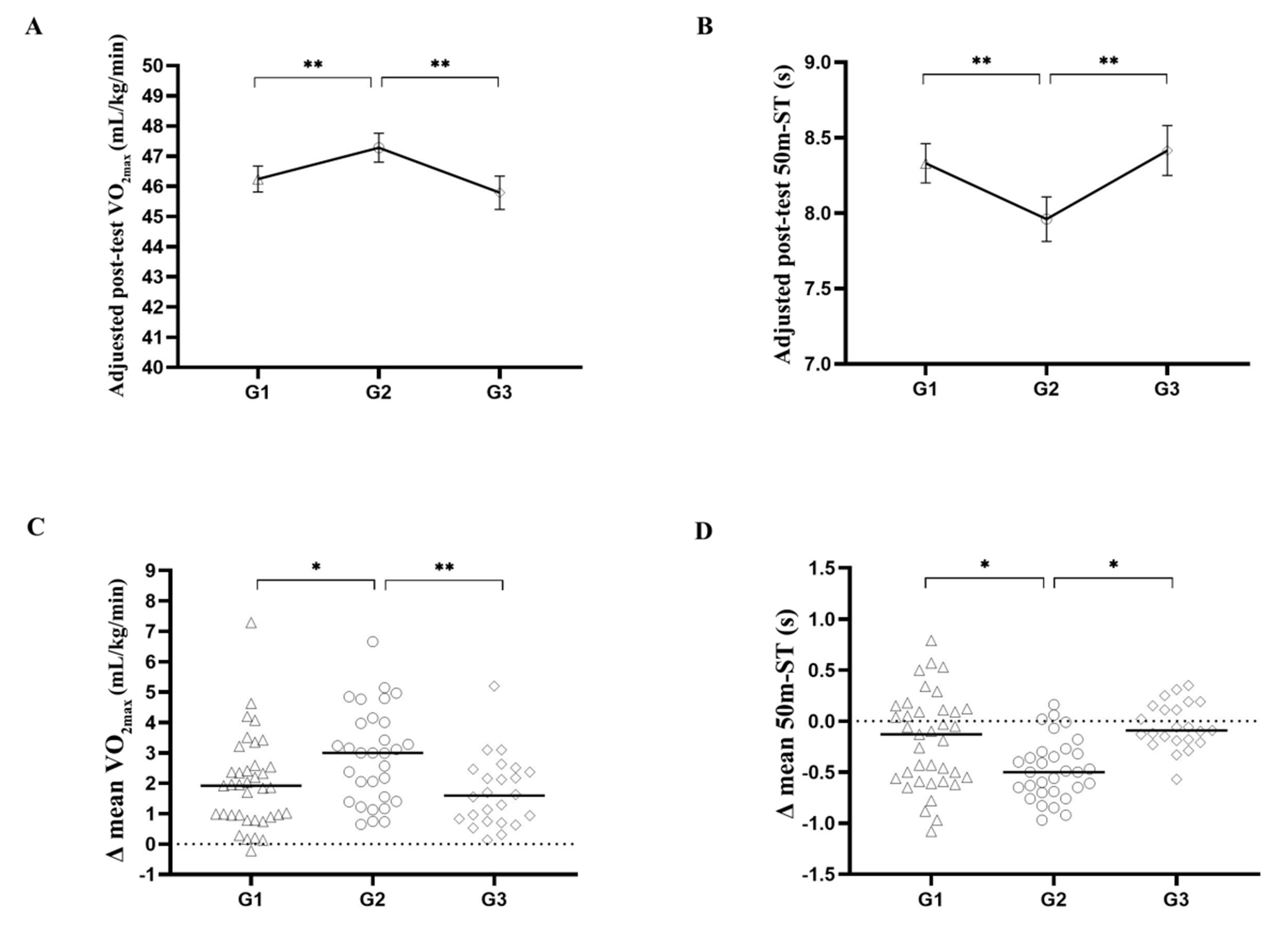
Following the intervention, significant between-group differences were observed for VO2max and 50-mST performance (Figure 2). For VO2max, G2 showed the most substantial improvement (Δ = + 2.89 mL/kg/min), followed by G1 (Δ = + 1.98 mL/kg/min), and G3 (Δ = + 1.70 mL/kg/min; F[2, 87] = 3.579, P = 0.032, η² = 0.074). Similarly, for 50-mST performance, G2 exhibited the greatest improvement, followed by G1 and G3 (F[2, 87] = 10.309, P < 0.001, η² = 0.190). No significant between-group differences were found for other parameters. These results suggest that the training protocol with a WRR of 30 seconds/45 seconds was most effective in enhancing cardiovascular fitness and speed performance in adolescents aged 12 to 14 years.

Figure 2

Figure 2. Between-group differences following the intervention. A. Adjusted Post-test maximal oxygen uptake. B. Adjusted post-test 50-meter sprint time. C. Delta mean maximal oxygen uptake. D. Delta mean 50-meter sprint time. Data are shown as means with 95% confidence intervals in A and B, and individual points with means in C and D. Significant differences: * P < 0.05, ** P < 0.01. VO2max: maximal oxygen uptake; 50-mST: 50-meter sprint test.

DISCUSSION

This study assessed the effects of an 8-week school-based IJRT intervention on the physical fitness of adolescents aged 12-14. The results indicated that the training protocol with a WRR of 30 seconds/45 seconds was more effective in improving cardiovascular endurance and speed performance compared to the 30 seconds/30 seconds and 30 seconds/20 seconds protocols.

CRF represents the efficiency of the circulatory and respiratory systems in delivering oxygen to the muscles during physical activity, serving as a critical marker of overall health and a predictor of cardiometabolic outcomes in adolescents (Raghuveer et al., 2020). The observed improvements in CRF, indexed by VO2max increments of 4.5%-6.4% across groups, corroborate the efficacy of IJRT as a modality for enhancing aerobic capacity in adolescents. The 30-second work/45-second rest (WRR 0.7) protocol elicited the greatest gains, aligning with the “stress-recovery paradigm” in interval training, wherein optimized rest intervals facilitate sustained effort and metabolic stress necessary for aerobic adaptations. This finding resonates with Eler and Acar’s work, which demonstrated VO2max enhancements in prepubertal boys following a 10-week IJRT program featuring similar work/rest ratios (Eler & Acar, 2018). The consistency across studies underscores the effectiveness of IJRT in enhancing CRF in youth within a school setting. However, our study advances previous research by identifying the WRR as a key determinant in optimizing VO2max improvements, with a WRR of 0.7 producing the most significant gains. This finding is further supported by a study on male college judo athletes, where varying WRRs in high-intensity interval training (HIIT) protocols also resulted in significant VO2max enhancements, with the 2:1 ratio producing a greater effect size than the 3:1 ratio (Zhang et al., 2024). Despite differences in populations and exercise modalities, both studies highlight that smaller WRR are more effective in optimizing CRF, reinforcing the critical role of ratio selection in interval training design. Interval training has been shown to effectively enhance CRF by improving central cardiovascular functions, such as stroke volume and cardiac output, and by inducing peripheral adaptations, including increased mitochondrial density and capillary growth (Atakan et al., 2021). Smaller WRR may further optimize CRF improvements by providing longer recovery intervals, which facilitate sustained high-intensity efforts, enhance aerobic conditioning, reduce fatigue accumulation, and improve metabolic efficiency, leading to more pronounced cardiorespiratory adaptations.

Muscular fitness (MSF), including strength, endurance, and explosive power, is crucial for adolescent development, supporting physical performance, metabolic health, and long-term disease prevention (Kell et al., 2001). In our study, all three groups demonstrated significant improvements in grip strength, SLJ, and sit-ups (P < 0.05), indicating that IJRT can effectively enhance MSF in adolescents, with no significant differences observed between the groups, suggesting that varying the WRRs did not differentially impact the outcomes. Our findings align with previous research demonstrating the efficacy of jump rope-based interventions in improving various aspects of MSF. For instance, Huang et al. reported significant improvements in core muscular endurance and explosive power following a 12-week jump rope intervention among middle school students (Huang et al., 2022). Similarly, Chen and Wu found that an 8-week rope-skipping program significantly improved SLJ performance in male college students by enhancing jump velocity and biomechanics (Chen & Wu, 2022). These findings support the reliability of jump rope exercises as an effective method for improving MSF across different settings, protocols, and age groups. JRT heavily engages the stretch-shortening cycle, enhancing reactive strength and power through repeated rapid stretch and contraction cycles. Additionally, JRT functions similarly to plyometric exercises by stimulating fast-twitch muscle fibers, promoting strength gains in both the upper and lower body. The rhythmic, high-intensity nature of JRT also induces neuromuscular adaptations, improving coordination and muscle activation efficiency. Moreover, the metabolic demands of JRT contribute to increased muscle endurance as the body adapts to sustained exertion (Singh et al., 2022). This may explain why IJRT is more effective than traditional HIIT methods, such as running or cycling, which have shown limited impact on key components of MSF (Costigan et al., 2015) and indicates that IJRT could be a more suitable alternative, particularly in school settings, for enhancing MSF in adolescents. Significant 50-mST improvements were observed in G1 and G2 (P < 0.05), but not in G3 after 8-week IJRT intervention, with G2 (WRR: 0.7) showing the greatest improvement, consistent with the between-group differences in CRF improvement. Our findings are consistent with previous research reporting significant improvements in sprint times following JRT interventions (Eler & Acar, 2018; Yang et al., 2020) and suggest that PE classes offer an effective setting for implementing IJRT to enhance speed performance in adolescents. Improvements in sprint performance are driven by a synergistic combination of neuromuscular, metabolic, and cardiovascular adaptations. The high-intensity, repetitive, and explosive nature of IJRT improves neuromuscular coordination and strengthens lower-body muscles, both essential for generating sprinting power (Singh et al., 2022). Moreover, IJRT activates aerobic and anaerobic energy systems, boosting metabolic efficiency and cardiovascular endurance (Atakan et al., 2021). These combined adaptations contribute to more efficient movement patterns, faster recovery, and sustained sprint speed across multiple efforts.

It was documented that various forms of JRT and HIIT can lead to improvements in body composition (Cao et al., 2022; Singh et al., 2022), while our study found selective and limited changes among the adolescent participants. Specifically, significant reductions in BF were observed in G1 (P < 0.05), and G2 showed a significant decrease in BMI (P < 0.05), while no significant changes were detected in any body composition parameters for G3. These outcomes may be attributed, in part, to the relatively short duration of the 8-week intervention, as studies suggest that HIIT programs extending beyond 12 weeks are more likely to result in substantial changes in body composition (Batacan et al., 2017). Additionally, the absence of dietary monitoring in our study may have introduced variability, potentially diluting the observed effects on body composition. To gain a more comprehensive understanding of the impact of IJRT on adolescent body composition, future research should consider longer intervention periods and incorporate dietary controls. This combined approach would better elucidate how structured physical activity, in tandem with nutritional management, can optimize body composition in youth.

Methodological constraints include the absence of a non-exercising control group, limiting causal inferences, and the short intervention duration (8 weeks), which may insufficiently capture chronic adaptations. Additionally, the homogeneous sample (12-14-year-olds, single gender) restricts generalizability. Future research should adopt longitudinal designs with extended follow-up, incorporate objective dietary assessment (e.g., 3-day food records), and explore age-/sex-specific responses. Multi-modal monitoring (e.g., accelerometry, metabolic testing) could elucidate mechanistic underpinnings, while cross-cultural validations would enhance protocol applicability. Finally, investigating the dose-response relationship between WRR and adaptation thresholds may yield personalized prescription guidelines for adolescent populations.

CONCLUSIONS

This study establishes the feasibility and efficacy of integrating a 30-second work/45-second rest interval jump rope protocol into middle school PE curricula. Among 12-14-year-olds, this regimen yielded superior improvements in cardiovascular endurance (VO2max) and speed (50-m sprint) compared to shorter (30/30) or longer (30/20) ratios, without disrupting class structure. However, limitations include uncontrolled dietary confounders, an 8-week intervention window, and a single-age cohort lacking a non-exercise control group. Future research should adopt longitudinal designs with dietary monitoring, expanded age ranges, and multi-modal assessments to optimize training protocols for adolescent fitness.

DECLARATIONS

Acknowledgement

We are thankful for the support of the Normal College of Shenzhen University and all authors who responded to our requests for additional information. We are grateful to all of the children and their parents for their cooperation.

Author contributions

Wu J and Cao M: Conceptualization, Writing—Original draft preparation, Writing—Reviewing and Editing. Zhu CQ: Table and Figure drawing. Cao M and Wang C: Exercise testing and Project administration. All authors have read and approved the final version.

Source of funding

This study was funded by Guangdong Planning Office of Philosophy and Social Science (ID: GD25CTY09), Shenzhen Education Science Planning Project (yb24004), and Education Science Planning Project of China Education Association (202416307635B).

Ethical approval

The study was approved by the Medical Ethics Committee of the Department of Medicine at Shenzhen University (PN-2020-045).

Informed consent

Informed consent was gained from each participant before their participation.

Conflict of interest

The authors declare no conflict of interest.

Use of large language models, AI and machine learning tools

The authors declare that no large language models, artificial intelligence, or machine learning tools were used in the preparation or writing of this manuscript.

Data availability statement

The data will be available upon request from the corresponding author.

REFERENCES

  1. Atakan, M. M., Li, Y., Koşar, Ş. N., Turnagöl, H. H., & Yan, X. (2021). Evidence-based effects of high-intensity interval training on exercise capacity and health: a review with historical perspective. International Journal of Environmental Research and Public Health, 18(13), 7201. https://doi.org/10.3390/ijerph18137201
  2. Batacan, R. B. Jr, Duncan, M. J., Dalbo, V. J., Tucker, P. S., & Fenning, A. S. (2017). Effects of high-intensity interval training on cardiometabolic health: a systematic review and meta-analysis of intervention studies. British Journal of Sports Medicine, 51(6), 494-503. https://doi.org/10.1136/bjsports-2015-095841
  3. Batista, M. B., Cyrino, E. S., Arruda, M., Dourado, A. C., Coelho-E-Silva, M. J., Ohara, D., Romanzini, M., & Ronque, E. R. V. (2013). Validity of equations for estimating V [combining dot above] O2peak from the 20-m shuttle Run test in adolescents aged 11-13 years. Journal of Strength and Conditioning Research, 27(10), 2774-2781. https://doi.org/10.1519/jsc.0b013e3182815724
  4. Baumgartner, L., Postler, T., Graf, C., Ferrari, N., Haller, B., Oberhoffer-Fritz, R., & Schulz, T. (2020). Can school-based physical activity projects such as skipping hearts have a long-term impact on health and health behavior? Frontiers in Public Health, 8, 352. https://doi.org/10.3389/fpubh.2020.00352
  5. Beato, G. C., Ravelli, M. N., Crisp, A. H., & de Oliveira, M. R. M. (2019). Agreement between body composition assessed by bioelectrical impedance analysis and doubly labeled water in obese women submitted to bariatric surgery: body composition, BIA, and DLW. Obesity Surgery, 29(1), 183-189. https://doi.org/10.1007/s11695-018-3505-4
  6. Bianco, A., Lupo, C., Alesi, M., Spina, S., Raccuglia, M., Thomas, E., Paoli, A., & Palma, A. (2015). The sit up test to exhaustion as a test for muscular endurance evaluation. SpringerPlus, 4(1), 309. https://doi.org/10.1186/s40064-015-1023-6
  7. Blüher, S., Käpplinger, J., Herget, S., Reichardt, S., Böttcher, Y., Grimm, A., Kratzsch, J., & Petroff, D. (2017). Cardiometabolic risk markers, adipocyte fatty acid binding protein (aFABP) and the impact of high-intensity interval training (HIIT) in obese adolescents. Metabolism, 68, 77-87. https://doi.org/10.1016/j.metabol.2016.11.015
  8. Booth, M., & Okely, A. (2005). Promoting physical activity among children and adolescents: the strengths and limitations of school-based approaches. Health Promotion Journal of Australia, 16(1), 52-54. https://doi.org/10.1071/he05052
  9. Buchheit, M., & Laursen, P. B. (2013). High-intensity interval training, solutions to the programming puzzle: part I: cardiopulmonary emphasis. Sports Medicine, 43(5), 313-338. https://doi.org/10.1007/s40279-013-0029-x
  10. Bull, F. C., Al-Ansari, S. S., Biddle, S., Borodulin, K., Buman, M. P., Cardon, G., Carty, C., Chaput, J. P., Chastin, S., Chou, R., Dempsey, P. C., DiPietro, L., Ekelund, U., Firth, J., Friedenreich, C. M., Garcia, L., Gichu, M., Jago, R., Katzmarzyk, P. T., … & Willumsen, J. F. (2020). World Health Organization 2020 guidelines on physical activity and sedentary behaviour. British Journal of Sports Medicine, 54(24), 1451-1462. https://doi.org/10.1136/bjsports-2020-102955
  11. Cao, M., Tang, Y. C., & Zou, Y. (2022). Integrating high-intensity interval training into a school setting improve body composition, cardiorespiratory fitness and physical activity in children with obesity: a randomized controlled trial. Journal of Clinical Medicine, 11(18), 5436. https://doi.org/10.3390/jcm11185436
  12. Cao, M., Tang, Y. C., Li, S., & Zou, Y. (2021). Effects of high-intensity interval training and moderate-intensity continuous training on cardiometabolic risk factors in overweight and obesity children and adolescents: a meta-analysis of randomized controlled trials. International Journal of Environmental Research and Public Health, 18(22), 11905. https://doi.org/10.3390/ijerph182211905
  13. Chen, C. F., & Wu, H. J. (2022). The Effect of an 8-Week Rope Skipping Intervention on Standing Long Jump Performance. International Journal of Environmental Research and Public Health, 19(14). https://doi.org/10.3390/ijerph19148472
  14. Costigan, S. A., Eather, N., Plotnikoff, R. C., Taaffe, D. R., & Lubans, D. R. (2015). High-intensity interval training for improving health-related fitness in adolescents: a systematic review and meta-analysis. British Journal of Sports Medicine, 49(19), 1253-1261. https://doi.org/10.1136/bjsports-2014-094490
  15. Duncombe, S. L., Barker, A. R., Bond, B., Earle, R., Varley-Campbell, J., Vlachopoulos, D., Walker, J. L., Weston, K. L., & Stylianou, M. (2022). School-based high-intensity interval training programs in children and adolescents: a systematic review and meta-analysis. PLoS One, 17(5), e0266427. https://doi.org/10.1371/journal.pone.0266427
  16. Eler, N., & Acar, H. (2018). The effects of the rope jump training program in physical education lessons on strength, speed and VO2 max in children. Universal Journal of Educational Research, 6(2), 340-345. https://doi.org/10.13189/ujer.2018.060217
  17. Guthold, R., Stevens, G. A., Riley, L. M., & Bull, F. C. (2020). Global trends in insufficient physical activity among adolescents: a pooled analysis of 298 population-based surveys with 1·6 million participants. The Lancet Child & Adolescent Health, 4(1), 23-35. https://doi.org/10.1016/S2352-4642(19)30323-2
  18. Huang, F., Song, Y., Zhao, Y. D., Han, Y. T., & Fang, Q. (2022). Fitness promotion in a jump rope-based homework intervention for middle school students: a randomized controlled trial. Frontiers in Psychology, 13, 912635. https://doi.org/10.3389/fpsyg.2022.912635
  19. Karageorghis, C. I., & Priest, D. L. (2012). Music in the exercise domain: a review and synthesis (part I). International Review of Sport and Exercise Psychology, 5(1), 44-66. https://doi.org/10.1080/1750984x.2011.631026
  20. Karelis, A. D., Chamberland, G., Aubertin-Leheudre, M., Duval, & C., Ecological mobility in Aging and Parkinson group (2013). Validation of a portable bioelectrical impedance analyzer for the assessment of body composition. Physiologie Appliquee, Nutrition et Metabolisme, 38(1), 27-32. https://doi.org/10.1139/apnm-2012-0129
  21. Kell, R. T., Bell, G., & Quinney, A. (2001). Musculoskeletal fitness, health outcomes and quality of life. Sports Medicine, 31(12), 863-873. https://doi.org/10.2165/00007256-200131120-00003
  22. Mahar, M. T., Guerieri, A. M., Hanna, M. S., & Kemble, C. D. (2011). Estimation of aerobic fitness from 20-m multistage shuttle Run test performance. American Journal of Preventive Medicine, 41(4), S117-S123. https://doi.org/10.1016/j.amepre.2011.07.008
  23. Marković, S., Dopsaj, M., & Veljković, V. (2020). Reliability of sports medical solutions handgrip and jamar handgrip dynamometer. Measurement Science Review, 20(2), 59-64. https://doi.org/10.2478/msr-2020-0008
  24. Racil, G., Coquart, J. B., Elmontassar, W., Haddad, M., Goebel, R., Chaouachi, A., Amri, M., & Chamari, K. (2016). Greater effects of high- compared with moderate-intensity interval training on cardio-metabolic variables, blood leptin concentration and ratings of perceived exertion in obese adolescent females. Biology of Sport, 33(2), 145-152. https://doi.org/10.5604/20831862.1198633
  25. Raghuveer, G., Hartz, J., Lubans, D. R., Takken, T., Wiltz, J. L., Mietus-Snyder, M., Perak, A. M., Baker-Smith, C., Pietris, N., Edwards, N. M., & American Heart Association Young Hearts Athero, Hypertension and Obesity in the Young Committee of the Council on Lifelong Congenital Heart Disease and Heart Health in the Young. (2020). Cardiorespiratory fitness in youth: an important marker of health: a scientific statement from the American heart association. Circulation, 142(7), e101-e118. https://doi.org/10.1161/CIR.0000000000000866
  26. Richardson, J. T. E. (2011). Eta squared and partial eta squared as measures of effect size in educational research. Educational Research Review, 6(2), 135-147. https://doi.org/10.1016/j.edurev.2010.12.001
  27. Sang, Y. P., & Wang, L. J. (2022). Physical fitness data monitoring of college students based on the Internet of Things and blockchain. Frontiers in Public Health, 10, 940451. https://doi.org/10.3389/fpubh.2022.940451
  28. Singh, U., Ramachandran, A. K., Ramirez-Campillo, R., Perez-Castilla, A., Afonso, J., Clemente, F. M., & Oliver, J. (2022). Jump rope training effects on health- and sport-related physical fitness in young participants: a systematic review with meta-analysis. Journal of Sports Sciences, 40(16), 1801-1814. https://doi.org/10.1080/02640414.2022.2099161
  29. Vigh-Larsen, J. F., Dalgas, U., & Andersen, T. B. (2018). Position-specific acceleration and deceleration profiles in elite youth and senior soccer players. Journal of Strength and Conditioning Research, 32(4), 1114-1122. https://doi.org/10.1519/JSC.0000000000001918
  30. Wan, F. (2021). Statistical analysis of two arm randomized pre-post designs with one post-treatment measurement. BMC Medical Research Methodology, 21(1), 150. https://doi.org/10.1186/s12874-021-01323-9
  31. Warburton, D. E. R., Nicol, C. W., & Bredin, S. S. D. (2006). Health benefits of physical activity: the evidence. Journal de L’Association Medicale Canadienne, 174(6), 801-809. https://doi.org/10.1503/cmaj.051351
  32. Yang, X. F., Lee, J. Y., Gu, X. L., Zhang, X. X., & Zhang, T. (2020). Physical fitness promotion among adolescents: effects of a jump rope-based physical activity afterschool program. Children, 7(8), 95. https://doi.org/10.3390/children7080095
  33. Zhang, Z. Y., Xie, L., Ji, H. S., Chen, L. X., Gao, C., He, J. X., Lu, M., Yang, Q., Sun, J., & Li, D. Y. (2024). Effects of different work-to-rest ratios of high-intensity interval training on physical performance and physiological responses in male college judo athletes. Journal of Exercise Science & Fitness, 22(3), 245-253. https://doi.org/10.1016/j.jesf.2024.03.009
  34. Zhao, Q.R., Wang, Y. F., Niu, Y. T., & Liu, S. (2023). Jumping rope improves the physical fitness of preadolescents aged 10–12 years: a meta-analysis. Journal of Sports Science & Medicine, 22(2), 367-380. https://doi.org/10.52082/jssm.2023.367