ABSTRACT

Background: To assess the efficacy and safety of probiotic formulations for the induction of remission in people with ulcerative colitis (UC). Methods: The databases of China national knowledge infrastructure (CNKI), Wanfang Data, Excerpta Medica Database (Embase), Pubmed, and Cochrane Library were searched until May 31, 2022 for randomized clinical trials (RCTs) of patients with UC. Studies had to include 5-aminosalicylate compounds (5-ASAs) as conventional therapy (CON), and 4 listed probiotic formulations used as add on therapy. Trials that recruited patients who was receiving any other treatment were excluded. A network meta-analysis was performed to access and compare different probiotic formulations. Results: 38 RCTs were included. The probiotic formulations participants received included Combined Bifidobacterium, Lactobacillus, Enterococcus and Bacillus Tablets (SLK), Bifid Triple Viable Capsule (BIFICO), Live Combined Bacillus Subtilis and Enterococcus Faecium Enteric-coated Capsules (MCA) and Bacillus licheniformis Granules (ZCS). The results of the network meta-analysis indicate that patients receiving SLK + CON (summary relative risk 1.23, 95% confidence interval 1.14 to 1.33), BIFICO + CON (1.24, 1.16 to 1.32) and MCA + CON (1.16, 1.09 to 1.24) showed a significant difference from CON in overall efficacy, SLK + CON had the highest probability of being the best treatment (surface under the cumulative ranking curve [SUCRA], 0.88). In Mayo score, SLK + CON (standardised mean difference [SMD], 1.73, 0.66 to 2.93), BIFICO + CON (1.70, 0.51 to 2.91) showed a significant difference from CON, and SLK + CON had the highest probability of being the best treatment (SUCRA, 0.83). Except that MCA + CON (relative risks [RR], 0.64, 0.41 to 0.98) showed a lower probability of adverse events compared with CON, there was no significant difference between the other pairwise comparison in terms of safety. Conclusion: Probiotic formulations confer an added benefit in inducing remission combining with 5-ASA over 5-ASA alone. SLK shows advantages in overall efficacy and Mayo score compared with the others.

Key words: Probiotic, ulcerative colitis, network meta-analysis

INTRODUCTION

Ulcerative colitis (UC) is a long-term condition that results in inflammation and ulcers of the colon and rectum.[1] It occurs in 1 to 20 out of 100,000 people each year and affects 5 to 500 out of 100,000 people.[1] The disease is characterised by abdominal pain and bloody diarrhea, associated with urgency and rectal tenesmus.[1] Its clinical course varies, with more activity at disease onset and after diagnosis, then followed by remission.[2] The diagnosis of UC is based on medical history, signs and symptoms, and any endoscopic or histopathological findings. The first-line therapy for maintenance of remission in UC is 5-aminosalicylic acid (5-ASA).[1,3] If 5-ASA fails to provide any relief then steroids (prednisolone) and immune suppressant therapies (anti-tumour necrosis factor monoclonals) can be added as adjuncts. Despite these medications, a proportion of patients fail to induce remission and eventually requiring colectomy.[4]

The etiology of UC is unknown but probably multifactorial; consisting of a genetic predisposition, dysregulation of the mucosal and epithelial barrier and lastly dysbiosis, although whether dysbiosis causes or is a result of the disease remains unclear.[3] Probiotics are live micro-organisms, which produce their benefits by altering the gut microbiome through either enhancing the activity, volume or both, of the normal flora. Some studies have suggested that probiotics may be useful to maintain remission in mild to moderate ulcerative colitis.[5]

Probiotic formulations are now commonly used treatment in the clinical practice in China. Bifid Triple Viable Capsule (BIFICO), Live Combined Bacillus Subtilis and Enterococcus Faecium Enteric-coated Capsules (Meichangan, MCA) and Bacillus licheniformis Granules (Zhengchangsheng, ZCS) are listed in China’s National Essential Medicine List which guides and stipulates prioritizing critical health products across the nation. Combined Bifidobacterium, Lactobacillus, Enterococcus and Bacillus Tablets (Siliankang, SLK) has the highest sales volume in probiotic formulations, which also suggests the wide usage. The 4 probiotic formulations have been added in the induction of UC for a while as explorations for treatment. To assess the efficacy and safety of probiotics for the induction of remission in people with UC and find an alternative treatment, we investigated the available evidence on the use of probiotics for the induction of remission in UC and conduct a network meta-analysis.

MATERIALS AND METHODS

Study protocol

This is a systematic review and network meta-analysis of probiotics in treatment of UC. Reporting was organized according to the Preferred Reporting Items for Systematic Reviews and Meta-analyses (PRISMA) for randomized clinical trials (RCTs).[6] No review protocol or registration details are available.

Inclusion and exclusion criteria

RCTs with parallel group or crossover designs were included. Only data from period 1 in crossover trials were analysed to avoid potential carry-over effects. Language was restricted to English and Chinese. Only studies of core journals of Peking University or journals of China technology were included when reported in Chinese. Non-RCTs, reviews, case reports and publications reporting duplicate data were excluded.

Studies needed to include at least 1 outcome as follow. The primary outcome measure of efficacy was overall efficacy, defined in most trials as a 50% or greater reduction in UC symptoms at primary treatment endpoint. Mayo score was the secondary outcome measure of efficacy, which can range from 0-12 with higher scores indicating worse severity.[7] For the intestinal barrier is infiltrated and continuously activated by a large number of inflammatory cells as the occurrence and development of UC,[8] inflammatory factors constituted the tertiary efficacy outcome measure, including tumor necrosis factor (TNF)-α, high-sensitivity C-reactive protein (hs-CRP), interleukin-6 (IL-6) and interleukin-8 (IL-8). The outcome measure of safety was incidence of adverse events (AE).

Participants had to be adults (≥ 18 years) with a diagnosis of active UC by clinical, endoscopic, histologic. Animal studies were excluded.

Studies had to include 5-ASA (sulfasalazine, mesalazine, or olsalazine) as conventional therapy (CON) and probiotic formulations (SLK, BIFICO, MCA, or ZCS). Trials that recruited patients who was receiving any other treatment were excluded.

Literature search

An online systematic search was performed for eligible trials using the electronic databases of China national knowledge infrastructure (CNKI), Wanfang Data, Embase, Pubmed, and Cochrane Library. The search was performed from database inception until May 31, 2022. The following search terms were used: (“Bifid Triple Viable Capsule” OR “Live Combined Bacillus Subtilis” OR “Enterococcus Faecium Enteric-coated Capsules” OR “Bacillus licheniformis Granules” AND “Ulcerative colitis”).

Quality and risk of bias assessment

The Revised Cochrane risk-of-bias tool for randomized trials (RoB 2) was used to assess the quality of all selected studies.[9] Potential sources of bias include randomization process, deviations from intended interventions, missing outcome data, measurement of the outcome and selection of the reported result. Each trial received a study level score of low, high or unclear risk of bias for each domain. Two authors (Yang Tian and Jing Zhang) independently conducted this assessment, and discrepancies were resolved by consensus.

Statistical analysis

To estimate effect sizes, we computed relative risks (Mantel-Haenszel method) and standardised mean differences (Hedge’s method), respectively. We preferred data based on the intention-to-treat sample (i.e., number of participants randomised) or modified intention-to-treat sample (i.e., number of participants who attended at least one treatment session) over data based on completers for all analyses.

To visualize network geometry and node connectivity, network plots were produced for each outcome.[9] Network meta-analyses were fit within a frequentist framework using a multivariate random effects (restricted maximum likelihood estimation) meta-analysis model[9] that accounts for the correlations between effect sizes in trials with more than two groups.

We assumed network consistency and a common heterogeneity parameter across all treatment contrasts. For all treatment comparisons we present summary relative risks (RR) or standardised mean differences (SMD) and 95% confidence intervals (CI) that account for uncertainty in variance estimates[10] in league tables. To obtain treatment hierarchies, we used a parametric bootstrap procedure with 10,000 resamples to compute ranking probabilities for all ranks and outcomes.[10] Mean ranking as well as Surface Under the Cumulative Ranking curve (SUCRA) values were computed for each treatment. Network meta-analyses were conducted using the “gemtc” and “BUGSnet” packages in R 4.2.0.

The transitivity assumption was assessed by comparing the distribution or frequency of potential effect modifiers across treatment comparisons: continuous (UC severity at baseline, age, percentage of women) and categorical. Finally, the efficacy of the different interventions was assessed as additional proof of transitivity by computing per-post treatment changes in continuous UC severity score (Hedge’s g).

Assuming equivalence of direct and indirect evidence (i.e., consistency) in network meta-analyses might lead to inaccurate conclusions when there is evidence for statistically significant inconsistency.[9] Hence the assumption of consistency was assessed by fitting a design-by-treatment interaction model,[9] which accounts for loop and design inconsistencies and provides a global Wald test to evaluate inconsistency in the entire network.

To estimate absolute differences between direct and indirect evidence, inconsistency factors and 95% confidence intervals were computed for each closed triangular and quadratic loop within treatment networks. We used a method of moments estimator of loop specific heterogeneity, assuming a common heterogeneity parameter for all comparisons within the same loop.[10]

The symmetry of the funnel plot was used to assess the publication bias.

RESULTS

The initial search retrieved 243 articles. These studies were assessed for inclusion using the prespecified inclusion and exclusion criteria described in methods. Title and abstract of 82 articles were assessed, and 69 studies were found suitable for full-text review. After excluding 31 studies, 38 RCTs were finally included in our network meta-analysis. A total of 3739 patients were included (Figure 1).

Figure 1

Figure 1. Flow Diagram of Study Identification, Screening, Eligibility Assessment, and Inclusion. RCTs, randomised controlled trials.

The characteristics of included trials appear in Table 1. All studies were conducted in China. The average age of participants was between 34.2 and 58.3 years. All of the included studies had two trial arms. No single species were included. The probiotic formulations participants received including SLK, BIFICO, MCA, or ZCS. Conventional treatment participants received including 5-ASA (sulfasalazine, mesalazine, or olsalazine). The studies investigated the following comparisons: SLK + CON vs. CON, BIFICO + CON vs. CON, MCA + CON vs. CON, ZCS + CON vs. CON, SLK + CON vs. BIFICO + CON. Among these 3739 patients, 554 patients were treated with SLK + CON, 588 patients were treated with MCA + CON, 759 patients were treated with BIFICO + CON, 50 patients were treated with ZCS + CON and 1867 patients were treated with CON.

Table 1: Characteristics of the included trials
Study ID The number of patients Male/Female Age, Years Treatment Outcome Follow-up Adverse events
E C E C E C E C E C
Tian et al.[11] 2020 45 45 24/21 22/23     34.3 ± 1.3     34.3 ± 1.2 -1 -2 (a)(b)(c)(d)(e)(g) 8 weeks 4 3
Wang et al.[12] 2021 26 26 10/16 15/11     57.1 ± 9.5     58.3 ± 7.6 -1 CON (a)(b)(c) 4 weeks NR NR
Wang et al.[13] 2020 46 46 28/18 26/20     39.0 ± 4.2     40.1 ± 4.1 -1 CON (a) 8 weeks NR NR
Zhang[14] 2018 38 38 20/18 22/16     36.0 ± 6.9     36.0 ± 8.9 -1 CON (b)(d)(f)(g) 8 weeks 3 3
Yue et al.[15] 2017 32 32 19/13 15/17     35.8 ± 6.6     35.5 ± 6.8 -1 CON (a)(b)(g) 4 weeks 2 2
Che et al.[16] 2016 37 37 22/15 21/16 38.4 ± 5.7     38.6 ± 5.9 -1 CON (a)(c)(d)(f) 1 year NR NR
Wang et al.[17] 2016 41 42 23/18 25/17     40.7 ± 4.8     41.2 ± 5.1 -1 CON (a)(d)(f)(g) 6 weeks 1 2
Xu et al.[18] 2015 32 34 21/15 19/17     41.9 ± 4.6     42.6 ± 5.0 -1 CON (a)(g) 6 weeks 4 2
Wang et al.[19] 2014 39 39 18/21 19/20     47.2 ± 15.1     45.0 ± 16.3 -1 CON (b)(g) 6 weeks 0 0
Xie[20] 2012 24 24 17/31 NR 36.2 NR -1 CON (a) 8 weeks NR NR
Wang[21] 2010 20 20 10/10 10/10     48.0 ± 12.0     51.0 ± 11.0 -1 CON (a)(g) 6 weeks 5 1
Wei et al.[22] 2009 40 39 22/18 19/20 45.4 47.8 -1 CON NR 2 months NR NR
Wu et al.[23] 2021 51 51 28/23 25/26     45.8 ± 11.2     47.0 ± 11.7 -2 CON (a)(d)(f)(g) 4 weeks 9 6
Mu et al.[24] 2021 58 58 36/22 32/26     40.7 ± 8.9     39.6 ± 10.3 -2 CON (a) 8 weeks NR NR
Duan et al.[25] 2021 50 50 32/18 30/20     44.0 ± 4.0     45.0 ± 5.0 -2 CON (a) 8 weeks NR NR
Li[26] 2019 40 40 26/14 26/14     35.8 ± 6.6     35.8 ± 6.6 -1 CON (d)(f) 6 weeks NR NR
Luo[27] 2019 153 153 72/81 80/73     38.8 ± 5.34     39.4 ± 4.3 -2 CON (a)(b)(g) 8 weeks 3 1
Mi et al.[28] 2018 46 46 25/21 23/23     43.3 ± 3.2     43.4 ± 3.0 -1 CON (g) 6 weeks 0 0
Huang et al.[29] 2018 180 180 90/90 81/99     42.2 ± 9.4     41.5 ± 8.3 -2 CON (a)(b)(c)(f) 8 weeks NR NR
Feng et al.[30] 2018 54 54 36/18 39/15     42.5 ± 4.7     43.3 ± 4.5 -2 CON (a)(g) 8 weeks 6 4
Hu et al.[31] 2018 28 27 18/10 18/9     42.3 ± 3.9     41.9 ± 4.0 -2 CON (a)(g) 8 weeks 3 2
Mao et al.[32] 2015 47 47 27/20 25/22     37.5 ± 4.7     36.9 ± 4.4 -2 CON (a)(g) 8 weeks 4 2
Li et al.[33] 2015 48 48 22/26 21/27     34.2 ± 8.2     35.3 ± 9.1 -1 CON (a)(c)(e)(f) 4 weeks NR NR
Zhang et al.[34] 2014 46 46 29/17 27/19     48.9 ± 14.5     49.2 ± 15.4 -2 CON (a)(b) 8 weeks NR NR
Shi et al.[35] 2010 47 45 27/20 26/19     46.0 ± 9.0     45.0 ± 10.0 -2 CON (a)(c)(e)(f)(g) 8 weeks 1 2
Zhang et al.[36] 2010 27 27 NR NR NR NR -3 CON (a)(c)(f) 12 weeks NR NR
Lu et al.[37] 2011 72 60 43/29 37/23 41.5 42.3 -3 CON (a)(g) 12 weeks 3 3
Tan et al.[38] 2018 50 50 25/25 24/26     41.5 ± 2.2     42.0 ± 2.4 -4 CON (a)(b)(g) 12 weeks 5 7
Zheng et al.[39] 2016 59 59 34/25 37/22     43.3 ± 8.5     44.0 ± 9.1 -3 CON (a)(c)(f)(g) 4 weeks 0 0
Weng[40] 2018 46 46 26/20 24/22     42.4 ± 6.8     42.0 ± 6.1 -3 CON (a)(c)(g) 2 months 7 10
Qin et al.[41] 2010 34 30 36/28 NR 44.5 NR -3 CON (a)(g) 8 weeks 0 1
Zhao et al.[42] 2016 31 31 11/20 9/22     38.2 ± 6.8     39.8 ± 7.9 -3 CON (a)(d) 6 months NR NR
Shi et al.[43] 2018 43 43 14/27 17/24     47.1 ± 4.9     47.3 ± 6.2 -3 CON (a)(c)(e)(f) 2 months NR NR
Tian et al.[44] 2019 37 37 27/10 26/11     39.4 ± 5.8     38.5 ± 5.4 -3 CON (a)(c)(d)(g) 8 weeks 4 3
Hu et al.[45] 2016 35 35 17/18 16/19     41.3 ± 3.5     42.1 ± 3.2 -3 CON (a)(e)(f) 1 months NR NR
Gu[46] 2012 31 31 15/16 13/18 18.0~51.0 19.0~53.0 -3 CON (a)(d)(g) 12 weeks 3 7
Jiang[47] 2013 55 55 38/17 36/19     40.0 ± 8.0     41.0 ± 8.0 -3 CON (a)(g) 16 weeks 10 11
Zhang et al.[48] 2021 60 60 25/28 35/32     72.1 ± 5.5     72.5 ± 4.8 -3 CON (a)(c)(g) 12 weeks 0 0
Liu et al.[49] 2012 58 81 34/24 45/36     45.5 ± 14.4     44.5 ± 15.4 -3 CON (a) NR NR NR
SLK, enterococcus and bacillus tablets; BIFICO, bifid triple viable capsule; MCA, live combined bacillus subtilis and enterococcus faecium enteric-coated capsules; ZCS, bacillus licheniformis granules; CON, conventional therapy; TNF, tumor necrosis factor; hs-CRP, high-sensitivity C-reactive protein; IL, interleukin. E: experimental group, C: control group. -1: SLK + CON; -2: BIFICO + CON; -3: MCA + CON; -4: ZCS + CON; (a): overall efficacy; (b): incidence of adverse events; (c): Mayo score; (d): TNF-α; (e): hs-CRP; (f): IL-6; (g): IL-8. NR, not reported.

The quality of the evidence was generally of unclear risk of bias (23 out of 38 trials; 61%) (Figure 2).

Figure 2

Figure 2. Risk of Bias graph. Review authors’ judgements about each risk of bias item presented as percentages across all included studies.

Efficacy

Overall efficacy

Table 2 shows the results of the network meta-analysis for the primary outcome of efficacy (overall efficacy). Rates of overall efficacy were available for 68 treatment arms (3413 participants) including all 5 treatments.

Table 2: Network meta-analysis of overall efficacy
Comparisons Overall efficacy
BIFICO + CON vs. SLK + CON 0.99 (0.91 to 1.09)
MCA + CON vs. SLK + CON 1.06 (0.96 to 1.17)
MCA + CON vs. BIFICO + CON 1.07 (0.97 to 1.16)
ZCS + CON vs. SLK + CON 1.05 (0.84 to 1.30)
ZCS + CON vs. BIFICO + CON 1.06 (0.85 to 1.30)
ZCS + CON vs. MCA + CON 0.99 (0.80 to 1.21)
CON vs. SLK + CON 1.23 (1.14 to 1.33)*
CON vs. BIFICO + CON 1.24 (1.16 to 1.32)*
CON vs. MCA + CON 1.16 (1.09 to 1.24)*
CON vs. ZCS + CON 1.17 (0.96 to 1.45)
Effect sizes represent summary relative risks and 95% confidence intervals. Values less than 1 favors the treatment in the corresponding row, whereas values greater than 1 favors the treatment in the corresponding column. SLK, enterococcus and bacillus tablets; BIFICO, bifid triple viable capsule; MCA, live combined bacillus subtilis and enterococcus faecium enteric-coated capsules; ZCS, bacillus licheniformis granules; CON, conventional therapy. * represents the result has statistically significance.

Figure 3A shows the established networks for comparison, with each node represents a treatment and the node size and thickness of connections vary according to the number of studies involved in the comparison. In addition, connections between nodes denote direct comparisons.

Figure 3

Figure 3. Network plot and surface under the cumulative ranking curve (SUCRA) of overall efficacy. A: Network plot of overall efficacy. Size of node is proportional to number of patients randomized to each treatment. Line width is proportional to number of randomized controlled trials comparing each pair of treatments. B: Surface Under the SUCRA of overall efficacy. SLK, enterococcus and bacillus tablets; BIFICO, bifid triple viable capsule; MCA, live combined bacillus subtilis and enterococcus faecium enteric-coated capsules; ZCS, bacillus licheniformis granules; CON, conventional therapy.

The results of the network meta-analysis indicate that patients receiving SLK + CON (1.23, 1.14 to 1.33), BIFICO + CON (1.24, 1.16 to 1.32) and MCA + CON (1.16, 1.09 to 1.24) showed a significant difference from CON in overall efficacy. And all of the above treatments did not differ statistically significantly from each other when compared in the network.

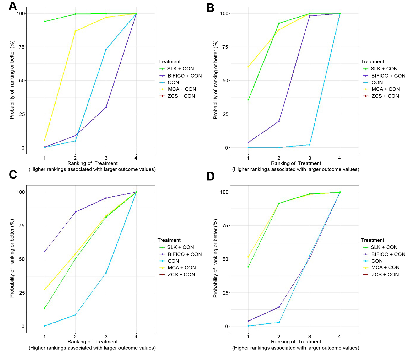
In terms of overall efficacy, BIFICO + CON had the highest probability of being the best treatment (SUCRA, 0.80), while SLK + CON (SUCRA, 0.75) showed the second-best improvement, ZCS + CON (SUCRA, 0.52) and MCA + CON (SUCRA, 0.41) remained better than CON (SUCRA, 0.01) (Figure 3B).

Mayo score

Table 3 shows the results of the network meta-analysis for the secondary outcome of efficacy (Mayo score), which was available for 18 treatment arms (1218 participants) including SLK + CON, BIFICO + CON, ZCS + CON and CON (Figure 4A).

Figure 4

Figure 4. Network plot and SUCRA of Mayo score. A: Network plot of Mayo score. B: SUCRA of Mayo score. SUCRA, surface under the cumulative ranking curve; SLK, enterococcus and bacillus tablets; BIFICO, bifid triple viable capsule; MCA, live combined bacillus subtilis and enterococcus faecium enteric-coated capsules; ZCS, bacillus licheniformis granules; CON, conventional therapy.

Table 3: Network meta-analysis of Mayo score
Comparisons Mayo score
BIFICO + CON vs. SLK + CON 0.03 (-1.38 to 1.53)
ZCS + CON vs. SLK + CON 2.88 (0.28 to 5.62)*
ZCS + CON vs. BIFICO + CON 2.85 (0.19 to 5.51)*
CON vs. SLK + CON 1.73 (0.66 to 2.93)*
CON vs. BIFICO + CON 1.70 (0.51 to 2.91)*
CON vs. ZCS + CON -1.15 (-3.56 to 1.26)
Effect sizes represent standardized mean difference (SMD) and 95% confidence intervals. Values less than 0 favors the treatment in the corresponding row, whereas values greater than 0 favors the treatment in the corresponding column. SLK, enterococcus and bacillus tablets; BIFICO, bifid triple viable capsule; MCA, live combined bacillus subtilis and enterococcus faecium enteric-coated capsules; ZCS, bacillus licheniformis granules; CON, conventional therapy. * represents the result has statistically significance.

The results of the network meta-analysis indicate that patients receiving SLK + CON (1.73, 0.66 to 2.93), BIFICO + CON (1.70, 0.51 to 2.91) showed a significant difference from CON in Mayo score. Besides, SLK + CON (2.88, 0.28 to 5.62), BIFICO + CON (2.85, 0.19 to 5.51) showed a difference from ZCS + CON. And SLK + CON and BIFICO + CON did not differ statistically from each other.

In terms of Mayo score, SLK + CON had the highest probability of being the best treatment (SUCRA, 0.83), while BIFICO + CON (SUCRA, 0.82) showed the second-best improvement, ZCS + CON (SUCRA, 0.29) remained better than CON (SUCRA, 0.06) (Figure 4B).

Inflammatory factors

Table 4 shows the results of the network meta-analysis for inflammatory factors (TNF-α, hs-CRP, IL-6, IL-8), which were available for 38 treatment arms (1843 participants) (Figure 5). Briefly, SLK + CON was more efficacious than CON across all inflammatory factors (TNF-α: 6.75, 6.34 to 7.16; hs-CRP: 2.76, 2.39 to 3.12; IL-6: 2.68, 1.97 to 3.38; IL-8: 12.26, 10.93 to 13.57). SLK + CON was more efficacious than BIFICO + CON for all inflammatory factors except IL-6, (TNF-α: 6.47, 6.07 to 6.87; hs-CRP: 1.03, 0.60 to 1.47; IL-6: -1.08, -1.56 to -0.61; IL-8: 12.10, 10.77 to 13.42) and was more efficacious than MCA + CON for TNF-α, IL-8 (4.17, 3.28 to 5.05; 8.42, 6.56 to 10.28). BIFICO + CON was more efficacious for hs-CRP, IL-6 (1.72, 1.17 to 2.27; 3.76, 2.95 to 4.56), while inferior to CON for TNF-α, IL-8 (0.28, 0.14 to 0.42; 0.16, 0.03 to 0.28). BIFICO + CON was less efficacious than MCA + CON for TNF-α, IL-8 (-2.31, -3.11 to -1.50; -3.68, -5.01 to -2.34). MCA + CON showed a significant difference from CON for all inflammatory factors except IL-6 (TNF-α: 2.59, 1.79 to 3.39; hs-CRP: 2.78, 1.23 to 4.30; IL-8: 3.84, 2.50 to 5.17).

Figure 5

Figure 5. Network plot of inflammatory factors. Network plot of TNF-α (A), hs-CRP (B), IL-6 (C), and IL-8 (D) respectively. SLK, enterococcus and bacillus tablets; BIFICO, bifid triple viable capsule; MCA, live combined bacillus subtilis and enterococcus faecium enteric-coated capsules; ZCS, bacillus licheniformis granules; CON, conventional therapy; TNF, tumor necrosis factor; hs-CRP, high-sensitivity C-reactive protein; IL, interleukin.

Table 4: Network meta-analysis of inflammatory factors
Comparisons TNF-α hs-CRP IL-6 IL-6
BIFICO + CON vs. SLK + CON 6.47 (6.07 to 6.87)* 1.03 (0.60 to 1.47)* -1.08 (-1.56 to -0.61)* 12.10 (10.77 to 13.42)*
MCA + CON vs. SLK + CON 4.17 (3.28 to 5.05)* -0.03 (-1.60 to 1.56) -3.83 (-11.64 to 3.94) 8.42 (6.56 to 10.28)*
MCA + CON vs. BIFICO + CON -2.31 (-3.11 to -1.50)* -1.06 (-2.68 to 0.59) -2.75 (-10.59 to 5.01) -3.68 (-5.01 to -2.34)*
CON vs. SLK + CON 6.75 (6.34 to 7.16)* 2.76 (2.39 to 3.12)* 2.68 (1.97 to 3.38)* 12.26 (10.93 to 13.57)*
CON vs. BIFICO + CON 0.28 (0.14 to 0.42)* 1.72 (1.17 to 2.27)* 3.76 (2.95 to 4.56)* 0.16 (0.03 to 0.28)*
CON vs. MCA + CON 2.59 (1.79 to 3.39)* 2.78 (1.23 to 4.30)* 6.50 (-1.26 to 14.29) 3.84 (2.50 to 5.17)*
Effect sizes represent standardized mean difference (SMD) and 95% confidence intervals. Values less than 0 favors the treatment in the corresponding row, whereas values greater than 0 favors the treatment in the corresponding column. SLK, enterococcus and bacillus tablets; BIFICO, bifid triple viable capsule; MCA, live combined bacillus subtilis and enterococcus faecium enteric-coated capsules; ZCS, bacillus licheniformis granules; CON, conventional therapy; TNF, tumor necrosis factor; hs-CRP, high-sensitivity C-reactive protein; IL, interleukin. * represents the result has statistically significance.

The SUCRA appear in Figure 6. SLK + CON had the highest probability to be the best treatment for TNF-α (SUCRA, 0.98). For the outcome of hs-CRP and IL-8, MCA + CON had the highest probability to be the best treatment based on the SUCRA value (0.83, 0.80). BIFICO + CON had the highest probability of being the best treatment for IL-6 (SUCRA, 0.79).

Figure 6

Figure 6. SUCRA of inflammatory factors. SUCRA of TNF-α (A), hs-CRP (B), IL-6 (C), and IL-8 (D) respectively. SUCRA, surface under the cumulative ranking curve; SLK, enterococcus and bacillus tablets; BIFICO, bifid triple viable capsule; MCA, live combined bacillus subtilis and enterococcus faecium enteric-coated capsules; ZCS, bacillus licheniformis granules; CON, conventional therapy; TNF, tumor necrosis factor; hs-CRP, high-sensitivity C-reactive protein; IL, interleukin.

Safety

Table 5 shows the results of the network meta-analysis for the incidence of adverse events (AE), which were available for 46 treatment arms (2218 participants) including all 5 treatments (Figure 7A).

Figure 7

Figure 7. Network plot and SUCRA of safety. A: Network plot of safety. B: SUCRA of safety. SUCRA, surface under the cumulative ranking curve; SLK, enterococcus and bacillus tablets; BIFICO, bifid triple viable capsule; MCA, live combined bacillus subtilis and enterococcus faecium enteric-coated capsules; ZCS, bacillus licheniformis granules; CON, conventional therapy.

Table 5: Network meta-analysis of incidence of AE
Comparisons Incidence of AE
BIFICO + CON vs. SLK + CON 0.88 (0.43 to 1.81)
MCA + CON vs. SLK + CON 1.56 (0.74 to 3.34)
MCA + CON vs. BIFICO + CON 1.77 (0.91 to 3.49)
ZCS + CON vs. SLK + CON 1.60 (0.48 to 6.04)
ZCS + CON vs. BIFICO + CON 1.82 (0.58 to 6.52)
ZCS + CON vs. MCA + CON 1.02 (0.33 to 3.62)
CON vs. SLK + CON 0.99 (0.54 to 1.81)
CON vs. BIFICO + CON 1.12 (0.68 to 1.87)
CON vs. MCA + CON 0.64 (0.41 to 0.98)*
CON vs. ZCS + CON 0.62 (0.19 to 1.75)
Effect sizes represent summary relative risks and 95% confidence intervals. Values less than 1 favors the treatment in the corresponding row, whereas values greater than 1 favors the treatment in the corresponding column. AE, adverse events; SLK, enterococcus and bacillus tablets; BIFICO, bifid triple viable capsule; MCA, live combined bacillus subtilis and enterococcus faecium enteric-coated capsules; ZCS, bacillus licheniformis granules; CON, conventional therapy. * represents the result has statistically significance.

With regard to the safety of probiotic formulations, MCA + CON (0.64, 0.41 to 0.98) showed a lower possibility of AE compared with CON. In addition, there was no statistically significant difference in the incidence of AE between the other tow pairs.

In terms of safety, BIFICO + CON (SUCRA, 0.77) ranked highest and with a high probability, indicating that this group had a higher potential possibility to have AE, with CON (SUCRA, 0.66) ranking second and SLK + CON (SUCRA, 0.63) higher than ZCS + CON (SUCRA, 0.26) and MCA + CON (SUCRA, 0.18) (Figure 7B).

Publication bias

Based on funnel plots, there were obvious publication biases of TNF-α and IL-8 (Figure 8C, 8F).

Figure 8

Figure 8. Funnel plots. Funnel plots of overall efficacy (A), Mayo score (B), TNF-α (C), hs-CRP (D), IL-6 (E), IL-8 (F) and safety (G). SLK, enterococcus and bacillus tablets; BIFICO, bifid triple viable capsule; MCA, live combined bacillus subtilis and enterococcus faecium; ZCS, bacillus licheniformis granules; CON, conventional therapy; TNF, tumor necrosis factor; hs-CRP, high-sensitivity C-reactive protein; IL, interleukin.

DISCUSSION

Reinstating the aboriginal flora may be advantageous due to dysbiosis in ulcerative colitis. And probiotics, which are live micro-organisms, can alter the bacteria and potentially reduce the inflammation.[50] Studies have displayed that Bifidobacterium infantis had a defensive effect on mucus goblet cells and the epithelial cell layer in rat model of TNBS (2,4,6-trinitrobenzene sulfonic acid)-induced colitis.[51] Another research team found that Bifidobacterium bifidum augmented IL-10 and diminished IL-1β in colon sections, which verifying its anti-inflammatory effect.[52] Patient-based studies suggest that Bifidobacterium breve, Bifidobacterium bifidum, and Lactobacillus acidophilus seem to be promising in sustaining the remission phase.[53,54] Furthermore, administration of Lactobacillus fermentum among UC patients resulted in lower NF-κB, IL-6, and TNF-α levels.[53]

This systematic review and network meta-analysis of probiotic formulations in treatment of UC included data from 38 clinical trials including 3739 patients who were randomized to 5 distinct treatments, including SLK + CON, BIFICO + CON, MCA + CON, ZCS + CON and conventional therapy. Probiotic formulations can improve induction of clinical remission (Tables 2-4) and make little or no difference in the incidence of AE (Table 5).

SLK is a probiotic formulation containing Bifidobacterium infantis, Lactobacillus acidophilus, Enterococcus faecalis and Bacillus cereus. SLK + CON was more efficacious than ZCS + CON for Mayo score (Table 3), which can reflect the superiority of SLK in improving clinical symptoms of ulcerative colitis patients. Besides, SLK + CON showed a significant difference in improvement of TNF-α, hs-CRP, IL-6 and IL-8 compared with BIFICO + CON, and showed a significant difference in TNF-α and IL-8 compared with MCA + CON (Table 4). The results of network meta-analysis show that SLK performs better than the other probiotic formulations in reducing disease severity. SLK + CON had the highest probability to be the best treatment for Mayo score and TNF-α and ranked second in terms of overall efficacy based on the SUCRA value (Figure 3B, Figure 4B, and Figure 6A), indicating that SLK + CON may improve best induction of clinical remission.

BIFICO is a kind of probiotics composed of enterococcus, lactobacillus acidophilus and bifidobacterium, which can supplement the original intestinal flora, inhibit pathogenic bacteria, adhesion and forming a with intestinal mucosal epithelial cells.[54] BIFICO + CON had the first and second highest SUCRA value for overall efficacy and Mayo score, respectively (Figure 3B and Figure 4B), suggesting that BIFICO can improve the clinical symptoms of ulcerative colitis patients.

MCA + CON ranked first in improvement of hs-CRP and IL-8 (Figure 6B6D, Table 4), indicating that MCA is more efficacious in reducing specific inflammatory factors. In terms of safety, MCA + CON had a higher potential possibility to be the safest therapy (Figure 7B). Except that MCA + CON showed a lower probability of adverse events compared with CON, there was no significant difference between the other pairwise comparison in terms of safety (Table 5). ZCS + CON had less advantages compared with the other treatments.

Due to the risk of bias of studies included, there is limited evidence which failed to provide a definition of remission, that probiotics may confer a small added benefit in inducing remission when combined with 5-ASA, over 5-ASA alone. This review highlights the need for further research in this area that targets relevant clinical questions, uses appropriate and improved trial procedures, and reports in a manner that will allow future integration with this current evidence base to produce the clearer answers clinicians and patients require.

Limitations

This study has several limitations. First, despite the retrieval of 38 RCTs, including approximately 3739 patients and studying the most commonly used probiotic formulations, only 1 was a direct comparison, which led to the global Wald test failing to assess inconsistency across the network. Second, fewer than 5% of the studies included more than 100 participants per arm, which may have introduced bias due to small study effects. Third, 40% of the studies were of low methodological quality and had a high risk of bias. Fourth, the SUCRA curve has been used to estimate the ranking probabilities of comparative efficacy between different treatments, but it carries certain restrictions and the outcomes should be interpreted cautiously. Fifth, the funnel plots for publication bias show obvious asymmetry, which indicated that the results were influenced by the publication bias.

CONCLUSION

Probiotics confer additional benefit in inducing UC remission combining with 5-ASA over 5-ASA alone. SLK shows advantages in overall efficacy, Mayo score, TNF-α compared with the other probiotic formulations. The comparative advantage of different probiotic formulations need to be supported by solider evidences. This review highlights the need for further research in this area that targets relevant clinical questions, uses appropriate and improved trial procedures, and reports in a manner that will allow future integration with this current evidence base to produce clearer answers to clinicians and patients require.

DECLARATION

Acknowledgements

Brief acknowledgements of persons who have made genuine contributions to the manuscript and who endorse the data and conclusions should be included.

Author contributions

Li K: Conceptualization, Methodology, Software. Zhang J: Data curation, Writing-Original draft preparation. Tian Y: Visualization, Methodology, Investigation. Zhang L: Validation. Xu Q: Validation. Lin L: Writing-Reviewing and Editing, Supervision. All authors have read and approve the final manuscript.

Source of funding

This research received no external funding. Authors are responsible for obtaining written permission to use any copyrighted text and/or illustrations.

Ethical approval

Not applicable.

Informed consent

Not applicable.

Conflict of interest

There is no conflict of interest among the authors.

Data availability statement

Not applicable.

REFERENCES

  1. Feuerstein JD, Moss AC, Farraye FA. Ulcerative Colitis. Mayo Clin Proc. 2019;94(7):1357–1373.
  2. Monstad IL, Solberg IC, Cvancarova M, et al. Outcome of Ulcerative Colitis 20 Years after Diagnosis in a Prospective Population-based Inception Cohort from South-Eastern Norway, the IBSEN Study. J Crohns Colitis. 2020;15(6):969–979.
  3. Ungaro R, Mehandru S, Allen PB, et al. Ulcerative colitis. Lancet. 2017;389(10080):1756–1770.
  4. Kaur L, Gordon M, Baines PA, Iheozor-Ejiofor Z, Sinopoulou V, Akobeng AK. Probiotics for induction of remission in ulcerative colitis. Cochrane Database Syst Rev. 2020;3(3):CD005573.
  5. Kruis W, Fric P, Pokrotnieks J, et al. Maintaining remission of ulcerative colitis with the probiotic Escherichia coli Nissle 1917 is as effective as with standard mesalazine. Gut. 2004;(11):1617–1623.
  6. Hutton B, Salanti G, Caldwell DM, et al. The PRISMA extension statement for reporting of systematic reviews incorporating network meta-analyses of health care interventions: checklist and explanations. Ann Intern Med. 2015;62(11):777–784.
  7. Schroeder KW, Tremaine WJ, Ilstrup DM. Coated oral 5-aminosalicylic acid therapy for mildly to moderately active ulcerative colitis. A randomized study. N Engl J Med. 1987;17(26):1625–1629.
  8. Tatiya-Aphiradee N, Chatuphonprasert W, Jarukamjorn K. Immune response and inflammatory pathway of ulcerative colitis. J Basic Clin Physiol Pharmacol. 2018;0(1):1–10.
  9. Higgins JP, Thomas J, Chandler J, et al. Cochrane handbook for systematic reviews of interventions. 2nd ed. John Wiley & Sons. 2019.
  10. Jackson D, Riley RD. A refined method for multivariate meta-analysis and meta-regression. Stat Med. 2014;3(4):541–554.
  11. Tian Y, Liu Y. [Effects of Bifidobaterium quadruple live bacteria tablets and Bifidobacterium triple live bacteria tablets on intestinal bio-barrier in patients with moderate active ulcerative colitis]. Chin J Integr Med Tradit and West on Dig. 2020;28(5):323–327.
  12. Wang SJ, Cui GL. [Effect of viable bifidobacterium quadruple combination use in treating parents with ulcerative colitis and its influence on serum IL-17,TNF-a expression]. Anhui Med and Pharm J. 2021;25(5):4.
  13. Wang YB, Chen X. [Recovery effect of teteralogy of Viable Bifidobacterium Tablets combined with Mesalazine on oxidative stress injury of intestinal mucosa of patients with ulcerative colitis]. Chin J Microecology. 2020;32(3):286–289.
  14. Zhang J. [Effect of Bifidobacterium quadruple live bacteria on Mayo score and serum levels of hs-CRP, IL-4, and IL-8 in patients with mild to-moderate ulcerative colitis]. World Chin J Dig. 2018;26(6):373–377.
  15. Yue YY, Zhang Q, Lin LJ. [Efficacy of bifidobacterium tetrameric viable flakes combined with mesalazine on mild to moderate ulcerative colitis]. Pract Pharm Clin Remedies. 2017;20(5):517–520.
  16. Che J, Jia ZB, Wang YX, et al. [Effect of amino salicylic acid combined with probiotics for the maintenance treatment of ulcerative colitis]. Chin J Gastroenterol Hepatol. 2016;25(9):1047–1049.
  17. Wang YD, Chen H. [Clinical observation of mesalazine combined with Bifidobacterium tetravaccine (live) in the treatment of ulcerative colitis]. Chin Pharm. 2016;27(3):326–328.
  18. Xu JY, Wu JY. [Protection Effect of Mesalazine Combined with Bifidobacterium Tetravaccine Tablets on Lipid Peroxidation Damage of Patients with Ulcerative Colitis]. Chin J Pharmacoepidemiol. 2015;24(12):712–714.
  19. Wang JN, Sun MJ, Song NN. [Therapeutic effect of siliankang combining with mesalazine in treatment of mild to moderate ulcerative colitis]. J Trop Med. 2014;14(12):1582–1584.
  20. Xie HQ. [Observation on the therapeutic effect of siliankang combined with mesalazine on 24 cases of ulcerative colitis]. Chin J Coal Ind Med. 2012;15(8):1176–1178.
  21. Wang ZQ. [Clinical Observation of SiLianKang and Salicylazosulfapyridine in Treatment of Ulcerative Colitis]. Occup Health. 2010;26(8):953–954.
  22. Wei SZ, Tian SY, Zheng GQ, Kong Y, Song H, Zhang XG. [Effect and mechanisms of action of Siliankang as an adjuvant therapy for ulceraitve colitis]. Chin J Microecology. 2009;7:641–642.
  23. Wu N, Li D, Cui LJ, Ma HJ. [Clinical Study of Bifidobacterium Triple Viable Combined with Mesalazine in the Treatment of Ulcerative Colitis]. Chin Pharm. 2021;30(2):74–76.
  24. Mu YT, Yang SX, Niu FY. [Regulating effect of Bifidobacterium triple viable capsules on helper T cell 17/regulatory T cell balance in patients with ulcerative colitis]. J Clin Med in Prac. 2021;25(18):76–79.
  25. Duan TN, Liu F. [Clinical effect of mesalazine enema liquid combined with bifid triple viable capsules dissolving at intestines on ulcerative colitis and its influence on the levels of inflammatory factors in patients]. Chin Med. 2021;4(4):579–582.
  26. Li YZ. Effect of mesalazine combined with viable bifidobacterium quadruple tablets on inflammatory factors in patients with ulcerative colitis. J Med Forum. 2019,40(01):39-40.
  27. Luo H. [Clinical study of bifidobacterium combined with mesalazinein treatment of ulcerative colitis]. Drug Eval Res. 2019;42(10):2029–2032.
  28. Mi C, Liu HY, Li YC, Jia A, Song ZJ. [Clinical Efficacy of Siliankang Combining with Mesalazine in Treatment of Ulcerative Colitis and Effects on Intestinal Mucosa TLR4 and NF-κb Expressions and Intestinal Microflora]. Prog in Mod Biomed. 2018;18(1):86–89.
  29. Huang M, Chen ZQ, Lang CH, et al. Efficacy of mesalazine in combination with bifid triple viable capsules on ulcerative colitis and the resultant effect on the inflammatory factors. Pak J Pharm Sci. 2018;31(6(Special)):2891–2895.
  30. Feng XQ, Liang C, Liu R, Zhang L. [Effect of Bifidobacterium Triple Viable Capsule Combined with Mesalazine on Immune Function and Intestinal Mucosa Barrier Function in Patients with Ulcerative Colitis]. Int J Dig Dis. 2018;38(2):144–147.
  31. Hu L, Lian H, Zhou T. [Effect of Bifico combined with mesalazine on the levels of serum inflammatory factors and COX-2 in patients with ulcerative colitis]. Pract J Clin Med. 2018;15(1):76–79.
  32. Mao LX, Guo YC, Qian J. [Clinical Observation of Bifid Triple Viable Capsule in the Treatment of Ulcerative Colitis]. Chin Pharm. 2015;26(36):5095–5096.
  33. Li YX, Song Y, Yao J, Zhang R. [Influence of Bifidobacterium on immune function and Fas/FasL expression of patients with ulcerative colitis]. J Hainan Med Univ. 2015;21(2):184–187.
  34. Zhang C, Zhou YY. [Evaluation of the Efficacy of Bifid Triple Viable Capsule Combined with Mesalazine in the Treatment of Ulcerative Colitis]. J Clin Research. 2014;31(4):696–698.
  35. Shi YH, Liu HL, Huang ZG, Liu ZJ. [Clinical effects of sulfasalazine combined with live combined bifidobacterium lactobacillus and enterococcus capsules in patients with ulcerative colitis]. Chin J New Drugs Clin Rem. 2010,29(10):783-785.
  36. Zhang XB, Yang XW, Dang HJ, et al. [IL-8 and TNF-α Expression changes of mesalazine and MECHANGAN capsule in serum of patients with ulcerative colitis]. Hebei Med. 2010;32(5)589–590.
  37. Lu Y, Lei XW. [Clinical effect of Olsalazine combined with Meichang’an in treating ulcerative colitis]. J Reg Anat and Oper Surg. 2011;20(3):292–293.
  38. Tan Y, Zheng CQ. [Clinical observation of Bacillus licheniformis combined with mesalazine in treatment of active ulcerative colitis]. Chin J Clin Pharmacol. 2018;3(7):1695–1701.
  39. Zheng XJ, Zheng HY, Luo L, Chen Y. [Clinical efficacy of Bacillus subtilis and Enterococcus faecium enteric-coated capsules combined with mesalazin enteric-coated tablets in the treatment of the patients with ulcerative colitis]. Chin J Clin Pharmacol. 2016;32(3):212–214.
  40. Weng Y. [Therapeutic Effect of Bacillus Subtilis combined with Mesalazine Enteric-coated Capsules on Patients with Ulcerative Colitis and the effects of serum SOD MDA and TNF-alpha]. Hebei Med. 2018;24(12):1945–1947.
  41. Qing R, Zhu SJ, Wang GK. [64 Cases of Ulcerative Colitis Treated with Bacillus subtilis Dual Viable Enteric coated Capsules Combined with 5-Aminosalicylic Acid]. Guangdong Med J. 2010;31(13):1739–1740.
  42. Zhao JL, Zhang HM. [Effect of live combined bacillus subtilis and enterococcus faecium enteric-coated capsules on ulcerative colitis]. J Xinxiang Med Univ. 2016;3(11):983–986.
  43. Shi XH, Tan FP, Jiang WH. [Bacillus subtilis and Enterococcus faecium enteric-coated capsules combined with mesalazine for treatment of patients with ulcerative colitis: Efficacy and impact on serum levels of SOD, MDA, interleukins, and TNF-α]. World Chin J Digestology. 2018;26(12):748–754.
  44. Tian J, Wang L, Xu N. [Efficacy of mesalazine and Bacillus subtilis and Enterococcus faecium enteric-coated capsules in patients with mild to moderate ulcerative colitis]. Pract Pharm Clin Remedies. 2019;22(3):296–299.
  45. Hu HP, Chen JL, Zhang L. [Clinical study on the efficacy of mesalazine and live combined Bacillus subtilis and Enterococcus faecium enteric-coated capsules in the treatment of ulcerative colitis]. J Hainan Med Univ. 2016;22(16):1800–1802.
  46. Gu ZX. [Clinical efficacy and safety of mesalazine combined with metoprolol in the treatment of ulcerative colitis]. Mod J Integr Tradit Chin and West Med. 2012;21(21):2346–2347.
  47. Jiang XL. [Efficacy of combination of mesalazine and Bacillus subtilis live bacteria enteric coated capsules in the treatment of ulcerative colitis]. Chin Remedies & Clin. 2013;13(3):386–387.
  48. Zhang H, Xu LH, Yang D, Han JX, Zhu XJ, Zhang YD. [Effect of mesalazine assisted microecological preparation on ulcerative colitis in the elderly and its influence on inflammatory factors of immune function]. Chin J Clin Gastroenterol. 2021;(4):033.
  49. Liu H, Yao P. [Treatment of ulcerative colitis with a microecological preparation comprising Bacillus subtilis and Enterococcus: An analysis of 58 cases]. World J Gastroenterol. 2012;20(19):1796–1799.
  50. Javed NH, Alsahly MB, Khubchandani J. Oral Feeding of Probiotic Bifidobacterium infantis: Colonic Morphological Changes in Rat Model of TNBS-Induced Colitis. Scientifica. 2016;2016:9572596.
  51. Kumar CSVS, Reddy KK, Boobalan G, et al. Immunomodulatory effects of Bifidobacterium bifidum 231 on trinitrobenzenesulfonic acid-induced ulcerative colitis in rats. Res Vet Sci. 2017;110:40–46.
  52. Kato K, Mizuno S, Umesaki Y, et al. Randomized placebo-controlled trial assessing the effect of bifidobacteria-fermented milk on active ulcerative colitis. Aliment Pharmacol Ther. 2004;20(10): 1133–1141.
  53. Hegazy SK, El-Bedewy MM. Effect of probiotics on pro-inflammatory cytokines and NF-kappaB activation in ulcerative colitis. WJG. 2010;16(33):4145.
  54. Li SY, Yin Y, Xiao D, Zou Y. Supplemental bifid triple viable capsule treatment improves inflammatory response and T cell frequency in ulcerative colitis patients. BMC Gastroenterol. 2021;21(1):314.