ABSTRACT

Worldwide, fungus infections of the skin, hair, and nails are a common cause of public health issues. They are, however, infrequently managed, according to a population-based survey. Skin fungi infections are projected to affect 20%–25% of people worldwide, and their incidence is rising. They make up 10%–20% of all dermatologic conditions. The goal of this study was to create and assess a novel multi-ethosome (ME) system for the topical delivery of terbinafine hydrochloride (TH) as a fresh method for treating fungus infections. Cinnamaldehyde was effectively used as a penetration enhancer to create TH-loaded MEs. The two-step process of photodynamic treatment (PDT) involves the topical or systemic delivery of a photosensitizer followed by the selective lighting of the target lesion with visible light, which causes oxidative photodamage and eventual cell death inside the target area.

Key words: multi-ethosome, terbinafine hydrochloride, cinnamaldehyde, photosensitizer, photodynamic treatment

INTRODUCTION

The skin makes up roughly 15% of the adult body weight, this makes it the biggest organ in the body. It carries out a variety of essential tasks, including as conservancy against the body from external physical, chemical, and biological threats, preventing excessive water loss from the body, and aiding in thermoregulation. The mucous membranes that line the surface of the body are part of the continuous skin. The epidermis, dermis, and subcutaneous tissue are the three layers that make up the skin.[1] The epidermis, which is the skin's outermost layer, is made up of keratinocytes, a particular kind of cells that produce keratin, a long, thin protein that serves as protection. Collagen, a fibrillar structural protein, makes up the dermis, the middle layer of skin. The panniculus, a subcutaneous tissue that includes tiny lobes of fat cells known as lipocytes, sits on top of the dermis.[2]

The eukaryotic nature of fungi and their resemblance to mammalian cells have made it extremely challenging to create novel antifungal medications. Both immunocompetent and immunocompromised people can become infected with fungi, which is a serious health issue around the world. The acquisition of fungi causes a variety of conditions, from asymptomatic infection to swiftly fatal systemic illness.[3] Skinny mycoses cause severe morbidity, discomfort, deformity, social isolation, and may put people at risk for bacterial illnesses even though they are rarely life-threatening.[4,5] These mycoses are persistent and commonly recurrent. Furthermore, they are very prevalent, with estimates indicating that 10%–20% of the world's population may be impacted.[6] The dermatophytes and Malassezia sp. are the primary causes of fungal skin diseases.[7]

The fact that fungi and their hosts are both eukaryotic creatures make antifungal therapy more difficult than antibacterial treatments since there are fewer sites for selective activity. Until the 1980s, the primary focus of antimycotics was on the topical treatment of surface mycoses, hence the available options were restricted. Toxic side effects plagued the few medications that could be administered systemically for invasive fungal infections. The ensuing rise in systemic mycoses, caused mostly by pathological and iatrogenic states of immunosuppression, prompted the creation of novel medications for systemic administration with expanded activity, reduced toxicity, and enhanced pharmacodynamic and pharmacokinetic properties. This resulted in the development of echinocandins, a new class of drugs, and new and improved azole and polyene formulations. Several antimycotic medications in development are unlikely to face cross-resistance with already available drugs since they target different molecular pathways. It is important to note that since immunosuppression is a major risk factor for invasive fungal infections, it is crucial to quickly restore a fully functional immune system in order to maximize the chances of a successful therapeutic outcome, despite the potential complications that may arise from the immune reconstitution inflammatory syndrome.

Antimycotic medication resistance has emerged as a hot topic in medical mycology. Aspergillus terreus has been shown to have an innate resistance to amphotericin B, and Candida krusei (C. krusei) has been shown to have an innate resistance to fluconazole. In the latter, the resistant mutation(s) could have been present at the time of infection or could have evolved afterwards, especially after prolonged exposure to the drug, as is required in preventive therapy. Due of its slow-growing persistence phase, Candida glabrata (C. glabrata) is especially vulnerable to developing resistance during therapy, giving resistant mutants time they need to emerge. C. glabrata abscesses may have low echinocandin concentrations, which could contribute to the development of resistance. In addition, the susceptibility profiles of various fungal infections vary widely. Therefore, antimycotic susceptibility testing is required for treatment selection. Antimycotic susceptibility testing is primarily done according to either the American Clinical and Laboratory Standards Institute (CLSI) or the European European Committee on Antimicrobial Susceptibility Testing (EUCAST) criteria. Sanguinetti et al. provide an analysis of the two guidelines, outlining their parallels and distinctions. The advantages and disadvantages of the various methods (broth microdilution dilution, agar based, automated, and analytical) as well as the clinical and epidemiological cutoffs are examined.

The reviews in this special issue highlight several technical considerations for conducting antifungal susceptibility tests: Candida susceptibility testing should not be performed with caspofungin due to inconsistent results; testing for itraconazole and voriconazole is necessary to identify. fumigatus resistance; and posaconazole susceptibility results may be ambiguous because to the overlap between resistant and wild type values. Despite the development of molecular techniques, strains with various mechanisms of resistance may be ignored since these approaches are focused on the detection of specific resistance genes. Since isolating, identifying, and conducting susceptibility testing can take some time, first treatment is frequently an educated guess. Some mycoses have risk ratings and biomarkers developed for them. Patients at a high risk are frequently given prophylactic treatment. However, it may not get started in a timely manner if underlying causes are not properly identified. Conventional treatments have been established for the most common fungal infections, including amphotericin B and/or new trazoles for mucormycosis, itraconazole or voriconazole for aspergillosis, polyenes and fluconazole for cryptococcosis, and the latter as prophylaxis for patients with antigenemia. Pneumocystis is unique in a number of respects, including its inability to grow on artificial media, which complicates susceptibility testing, and the absence of ergosterol in its cell membrane, which makes it resistant to sulfamethoxazole-trimethoprim but resistant to polyenes and azoles. Therapeutic regimens must be adapted to the anatomy and physiology of this group, which can be especially tricky when dealing with children and neonates because it can be difficult, if not impossible, to collect information directly from the patient. Depending on the severity of the infection, antifungal therapy in children may involve either preventative measures (in high-risk groups like infants and immunocompromised patients) or curative measures (in the case of active mycoses). There are antifungal treatment procedures developed specifically for children. Mycotic skin infections are typically caused by dermatophytes, Candida spp., or Malassezia spp. Treatment options for dermtophytoses include azoles and allylamines, most commonly terbibafine, applied topically or taken orally. In several parts of the world, griseofulvin is the drug of choice for treating childhood scalp infections. The identification of the etiological agent is important in selecting the most appropriate medication, as Trichophyton spp. are more responsive to terbinafine and Microsporum spp. to griseofulvin. Incomplete microbiological cure causes nail dermatophytosis to reoccur often and require prolonged treatment times, both of which reduce patient compliance. Because of this, researchers have been trying to create novel medications with enhanced nail penetration and simplified administration protocols. Candida infections of the skin and mucosa can be treated with polyenes, as well as azoles and triazoles. Itraconazole can be taken orally or applied topically to treat pityriasis versicolor. Azoles and allylamines are also effective topical treatments. Shampoos are a useful supplementary treatment for clearing up vast areas of damaged skin.

Surgical source control for mucormycosis or Candida abscesses, removal of a catheter, or the use of laser or photodynamic procedures for dermatophytosis are all examples of treatments that should be used in conjunction with antimycotic medication therapy. Pneumocystis can be spread from one susceptible person to another, therefore it's important to take precautions. In the spirit of one health and to round out the image of antimycotic therapy, considerations unique to the treatment of veterinary mycoses are provided. Given the current attention paid to dermatophytosis in animals, this review will instead focus on other fungal infections. The causes of animal mycoses are narrower than those of human infections, and the clinical manifestations and cost-effectiveness of potential treatments are also different.

TYPES OF FUNGAL INFECTION

Ringworm of the body (tinea corporis)

Contrary to what its name implies, ringworm is brought on by a fungus, not a worm. Usually, it affects the torso and limbs. Other names for ringworm on the body, such jock itch and athlete's foot, are possible. A fungal infection can develop a rash known as ringworm of the body, or tinea corporis. Typically, the rash appears as a red, itchy circle, with relatively clear skin in the center. Due to its outward look, ringworm was given its moniker. It is not a worm's job. An over-the-counter (OTC) antifungal cream can be used to treat a small area of ringworm. Clotrimazole, ketoconazole, econazole, tolnaftate, and terbinafine are common ingredients in topical creams. Your youngster may need a prescription cream or oral antifungal therapy if there are many spotty patches. A ring-shaped rash with slightly elevated margins is the primary sign of ringworm. These circular lesions typically have skin that seems to be in good condition. It is quite infectious to have ringworm, a common fungal skin illness. But it is not dangerous, and you can generally cure it with an antifungal lotion.[810]

Athlete's foot (tinea pedis)

Athlete's foot is a fungal illness that often appears between the toes on your feet. Athlete's foot symptoms frequently include scratching, burning, or stinging between your toes or on the bottoms of your feet skin that looks scaly, dry, flaky, redness, cracked or blistered skin. It is possible for the illness to spread to different parts of your body in some circumstances. Your hands, groyne, and nails are among examples.[11,12]

Jock itch (tinea cruris)

The groyne and thigh region of your body might develop jock itch, a fungal skin infection. Teenage boys and men are the most likely to experience it. Infection brought on by a fungus that most frequently appears in the space between the toes. People who wear shoes that are too tight for their feet and lead them to sweat excessively are occasionally susceptible to developing athlete's foot. Scaly rashes are a common symptom, and in addition to those characteristics, they frequently itch, sting, and burn. Athlete's foot is characterized by the presence of wet, raw skin in the spaces between the toes. In order to cure the illness, antifungal treatments are typically administered topically. An itchy, red rash that often appears around the upper inner thighs or in the groyne area is the primary symptom. The rash can extend to the buttocks and abdomen and may develop worse after exercise or other physical activity. Additionally, the impacted skin may seem dry, scaly, or cracked. It is possible for the rashes outside border to be somewhat elevated and darker.[13,14]

Ringworm of the scalp (tinea capitis)

Infected hair on the scalp, called tinea capitis, is typically seen in youngsters and is caused by dermatophyte fungi. It can present clinically as mild scaling with minimal hair loss or as massive, inflammatory, pustular plaques with widespread hair loss. The introduction of griseofulvin and intensive public health efforts helped bring the disease under effective control in Europe and North America in the early 20th century, while it remained endemic in other places. The scalp's epidermis and connected hair shafts are both impacted by this fungus infection. Young children are most likely to develop it, and it must be treated with antifungal shampoo and prescription oral medications. Localized bald patches that may be scaly or red, scaling, and itching are possible symptoms, as well as any discomfort or pain in the patches.[15,16]

Tinea versicolor

Tinea versicolor, also known as pityriasis versicolor, is a fungal or yeast skin infection that results in the development of tiny, oval, discoloured patches on the skin. Common fungal infections of the skin's outermost layers include tinea versicolor (also called pityriasis versicolor) and athlete's foot. Tinea versicolor manifests in the form of hypopigmented or hyperpigmented, finely scaled, oval or round macules/patches on the trunk and upper arms of asymptomatic patients. Patients may have pruritus, or itching, on rare occasions. The term “versicolor” was coined to describe the disorder since the lesions that can appear on the skin can be any number of colors. Tinea versicolor can have a wide variety of clinical presentations, expanding the diagnostic possibilities. Malassezia, a particular kind of fungus that is normally present on the skin of around 90% of individuals, overgrows and is the root cause of this condition.[17,18]

Cutaneous candidiasis

Fungi called Candida are to blame for this skin ailment. On and inside of our bodies, this form of fungus is prevalent naturally. It may become infected if it develops too much. Candida skin infections develop in warm, wet, and poorly ventilated environments. Infectious dermatophytosis, or cutaneous candidiasis, affects people of all ages and causes about 1% of all outpatient and 7% of all inpatient visits to dermatology clinics. Diaper dermatitis, atopic dermatitis, and psoriasis are just a few examples of pre-existing skin conditions that can be exacerbated by Candida. Intertrigo, cheilitis, diaper dermatitis, and interdigital candidiasis are the most common manifestations, though any part of the body is fair game. Several species of the genus Candida (C.) are possible culprits, with C. albicans being the most prevalent human pathogen. In many cases, changes in the local skin environment, such as increased humidity, occlusion, a compromised skin barrier, or a shift in the resident microbiota, will set the stage for a Candida infection. Immunosuppression, endocrine abnormalities, and impaired blood flow are additional factors that have been linked to an increased risk of infection.

Under the breasts and in the buttocks' creases are two examples of typical locations that might be impacted, as in diaper rash. Small red pustules, an itchy rash, and a Candida infection of the skin are all possible signs.[19,20]

Onychomycosis (tinea unguium)

A fungal infection of the nails is called onychomycosis. Toenail infections are more frequently, however infections of the fingernails are also possible. The fungal infection of the nail known as onychomycosis is widespread and persistent. Environment, demographics, lifestyle shifts, and immunosuppression may all have a role in the rising incidence in all age groups. The prevalence of diabetes mellitus, a major chronic and metabolic disease, is rising. About 30% of diabetic individuals experience skin lesions, and fungal skin infections are a common complication. Patients with chronic hyper glycemias are thought to have impaired phagocyte activities and a reduction in cellular immunity and polymorph nuclear leukocytes. Patients with this syndrome often acquire bacterial and fungal infections of the skin. Tinea infections typically cause only mild symptoms in healthy people, but in diabetics they can create wounds that allow bacteria to enter and spread. The affected areas are itchy, red, scaly, and crusty. The formation of papules and vesicles is possible. Nail involvement from persistent tinea pedis can manifest as a thick, yellowish brown, and rough nail surface as well as subungual debris.[21,22]

DIAGNOSIS TECHNIQUES FOR FUNGAL INFECTIONS

Infections caused by fungi are becoming increasingly common as a result of an increase in the size of populations at risk and the utilization of therapeutic modalities that allow for longer survival times for affected patients. Changes in temperature, the expansion of human habitats, the ease with which people may move, and population shifts are all factors that can contribute to shifts in endemic fungal infections. Patients who have received transplants, those who have been prescribed immunosuppressive and chemotherapeutic agents, human immunodeficiency virus infected (HIV-infected) patients, premature infants, the elderly, and patients who are undergoing major surgery are all considered to be high-risk populations for opportunistic fungal infections or disseminated endemic fungal infections, respectively. As a result, there has been a change in the mycoses that are seen in settings related to health care. Before the 21st century, Candida spp. were the most common pathogens that caused bloodstream infections, while endemic mycoses and Aspergillus spp. were the most common pathogens that caused invasive lung infections. In immunocompromised patients, it is common to find fungi that were once thought to be harmless. These include molds of the hyaline and dematiaceous families, as well as mucoraceous taxa, which were traditionally known as zygomycetes. In addition, distinguishing between infection and colonization with these fungi is a common challenge that has significant therapeutic repercussions for the people affected by this condition. In addition, developments in diagnostic imaging and in patient assistance have allowed for a greater ability to seek particular diagnoses by obtaining tissue biopsy specimens from body regions that were not previously available for histopathological study. This has resulted in a stronger ability to pursue specific diagnoses. A better outcome is described as having a lower morbidity and mortality rate, therefore early diagnosis and treatment are crucial. The lack of specific signs and symptoms until late in the disease process makes it challenging to diagnose invasive fungal infections, and it is also challenging to document a diagnosis using current diagnostic tools, obtain infected tissue necessary to establish a specific diagnosis, and in some cases, define the isolated agent's sensitivity to the therapeutic regimen being used.[2325]

TREATMENT FOR SKIN FUNGAL INFECTION

Dermatophyte skin infections have been treated with a wide range of topical treatments. With a low incidence of side effects, imidazole preparations for topical use, such as clotrimazole, miconazole, econazole, and ketoconazole, are now well known to be effective treatments for ringworm infections. Other medications in this class, such as tioconazole[16] and sulconazole, are also equally effective. Newer treatments like isoconazole,[19] luliconazole,[18] and sertaconazole[18] have joined these earlier topicals, however they have not yet received worldwide approval. The majority of the time, azole antifungals come in cream, solution, or spray forms with a 1% concentration. While some medications, such bifonazole, are approved for once-day usage, most are given twice daily for 2–4 weeks. The effectiveness of the various azoles varies only slightly.[26,27] Figure 1 comprising the conventional antifungal agents and their mechanisms of action.

Figure 1

Figure 1. Conventional antifungal agents and their mechanisms of action (Adapted and reprinted from Aguilar et al.).[28]

Polyenes

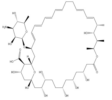
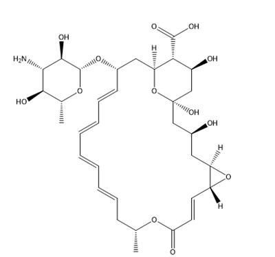
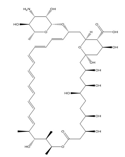
Pre-dosing hydration regimens with normal saline and a continuous infusion of amphotericin have decreased the fever, chills, and flushing that are connected to their use, but they can be problematic in transplant patients with pre-existing renal and/or hepatic dysfunction, who are frequently volume overloaded made even more difficult by a low serum albumin level.[22] When receiving amphotericin, these same people can occasionally develop an abrupt pulmonary response resembling pulmonary edema. Amphotericin is a well-known antifungal drug for Candida albicans (C. albicans), however its effectiveness against moulds, C. glabrata, C. krusei, and Candida lusitaniae (C. lusitaniae) is diminished. The polyene antifungal agents include, for example, nystatin, amphotericin B, and pimaricin (Figures 2, 3, and 4).[29,30]

Figure 2

Figure 2. Chemical structure of nystatin (Chemical structure were drawn using ChemBioDraw Ultra 14.0 software).

Figure 3

Figure 3. Chemical structure of amphotericin B (Chemical structure were drawn using ChemBioDraw Ultra 14.0 software).

Figure 4

Figure 4. Chemical structure of pimaricin (Chemical structure were drawn using ChemBioDraw Ultra 14.0 software).

Azoles

These medications can be given intravenously and orally and are less toxic than polyenes. They work by preventing the formation of ergosterol as well as through other unknown mechanisms. Based on minimal inhibitory concentration (MIC) data, voriconazole has better anti-Candida activity than fluconazole, and due to its activity against fluconazole-resistant species and wider spectrum, it is the preferred treatment for patients with hemodynamic instability or infections caused by non-albicans Candida, Aspergillus, or any other mould.[23] Clotrimazole, miconazole, and ketoconazole are the imidazoles that are therapeutically effective. Itraconazole and fluconazole are two significant triazoles (Figures 5 and 6).[31]

Figure 5

Figure 5. Chemical structure of Itraconazole (Chemical structure were drawn using ChemBioDraw Ultra 14.0 software).

Figure 6

Figure 6. Chemical structure of Fluconazole (Chemical structure were drawn using ChemBioDraw Ultra 14.0 software).

Fluorocytosine

A pyrimidine analogue called fluorocytosine prevents the creation of both DNA and proteins (Figure 7). Its main application is for the treatment of cryptococcal infections when combined with other medications.[32,33]

Figure 7

Figure 7. Chemical structure of fluorocytosine (Chemical structure were drawn using ChemBioDraw Ultra 14.0 software).

NEW ANTIFUNGAL TREATMENT DRUGS

VT-1161

VT-1161 is a new tetrazole antifungal medication that has been found to have less adverse effects and drug–drug interaction profiles due to the fact that it has fewer off-target inhibitors. Its high specificity for fungal CYP51 (in comparison to human cytochrome P450 [CYP] enzymes) is what makes it stand out. MICs for VT-1161 ranged from 0.015 to 2 g/mL, and the drug had a MIC90 of 0.015 g/mL. VT-1161 demonstrated significant antifungal activity in vitro against C. albicans during the initial testing phase, as well as against fluconazole-resistant C. albicans isolated from patients with acute and recurring vulvovaginal candidiasis. VT-1161 was shown to be clinically successful and safe not only in a phase 2 study in women with recurrent vulvovaginal candidiasis (RVVC), but also in a phase 3 study on the treatment of culture-verified vulvovaginal candidiasis (VVC) episodes, which resulted in the Food and Drugs Administration (FDA) approving it in April 2022. This was due to the fact that the drug was shown to be effective and safe in both studies.[34,35]

VT-1129

The investigational medicine VT-1129 is a highly strong inhibitor of the CYP51 enzyme that is found in Cryptococcus species, but it has only a moderate effect on the human enzyme. The investigational agent VT-1129 bound strongly to all three CYP51 proteins (dissociation constant [Kd] range, 14 to 25 nmol/L) with affinities comparable to those of fluconazole, voriconazole, itraconazole, clotrimazole, and ketoconazole (Kd range, 4 to 52 nmol/L). However, VT-1129 bound only weakly to human CYP51 (Kd, 4.53 nmol/L). VT-1129 was just as effective as standard triazole antifungal medications in suppressing the activity of cryptococcal CYP51 (range of 50% inhibitory concentration [IC50], 0.14 to 0.20 mol/L), however it very weakly reduced the activity of human CYP51 (IC50, 600 mol/L). In addition, human CYP2C9, CYP2C19, and CYP3A4 were only marginally inhibited by VT-1129, indicating that the risk for adverse drug interactions was limited.[36,37]

VT-1598

A novel fungal CYP51 inhibitor called VT-1598 was developed for excellent selectivity against human CYP enzymes in order to attain the highest therapeutic index and, consequently, the highest antifungal activity. In contrast to human CYP enzymes, the novel fungal CYP51 inhibitor VT-1598 was deliberately created to block the fungal CYP target with increased selectivity. The adoption of a tetrazole as the heme iron-binding moiety in place of the triazole present in the approved medications is largely responsible for the significant improvement in selectivity when compared to licensed CYP51 inhibitors like voriconazole, posaconazole, and isavuconazole. The above-mentioned negative effects of VT-1598 that are brought on by the inhibition of human CYPs may not exist as a result of this increased selectivity. Greater clinical efficacy might result from higher and safer exposures made possible by this enhanced therapeutic index. It has been found that VT-1598 possesses inherent antifungal activity in vitro, including activity against mold. We have previously discussed it is in vivo antifungal efficacy in mice models of mucosal candidiasis, invasive coccidiodomycosis, and cryptococcosis. The Pharmacokinetics/Pharmacodynamics (PK/PD) relationship of the in vivo antifungal activity of VT-1598 in murine models of invasive aspergillosis is similar to that of the licensed CYP51 antifungals posaconazole and isavuconazol.[38,39]

Oxaborole

Oxaborole, also known as AN3365, is a member of a novel class of boron-containing antibiotics. These antibiotics have high antibacterial action against a wide variety of gram-negative bacteria, including as methicillin-resistant Staphylococcus aureus (MRSA), wild-type Acinetobacter spp., and Burkholderia cepacia. The oxaboroles have a one-of-a-kind mode of action that involves blocking leucyl-tRNA synthetase. This results in a blockage of the protein manufacturing pathway. After completing phase I of a clinical trial, compound shows promise for the treatment of gram-negative bacterial infections caused by Multi Drug Resistance (MDR) pathogens.[40,41]

Tavaborole

Tavaborole is an antifungal medication that is used to treat onychomycosis, sometimes known as a nail fungus infection. Onychomycosis is a fungal infection of the nail and nail bed that can be caused by an infection with either Trichophyton rubrum or Trichophyton mentagrophytes. Tavaborole is a unique topical antifungal medicine that is based on boron and is used to treat the condition. In July 2014, the FDA gave its approval to tavaborole, making it the first oxaborole antifungal medication. Onychomycosis of the toe nail is the medical word for the fungal infection that affects both the nail and the nail bed. This condition can be treated with the medication that is sold under the brand name “kerydin”. The chemical formula for tavaborole is C7H6BFO2, and its molecular weight is calculated to be 151.93 g/mol. It achieves this effect by blocking the fungus' ability to synthesize proteins. It does this by inhibiting an enzyme called cytosolic leucyl-transfer RNA synthetase, also known as LeuRS, which is necessary to the process of production of fungal vital proteins. The cessation of protein synthesis will ultimately result in the death of the fungus since it will prevent the proliferation of fungal cells.[42,43]

NEW APPROACHES FOR TREATING SKIN FUNGUS INFECTIONS

Skin with targeted efficiency

A synthetic allylamine derivative with antifungal action known as terbinafine hydrochloride (TH) is mostly used to treat superficial skin infections that are treated topically, including tinea corporis, tinea pedis, and infections caused by Candida species[27] TH often has systemic adverse effects when used orally, such as liver damage and digestive issues.[29] Due to TH's high lipophilicity and tendency to concentrate mostly in superficial skin and adipose tissue,[30] creams and gels have been produced therapeutically for superficial skin infections. Unfortunately, it has low penetration through the stratum corneum (SC) to the lesion,[31] which renders it ineffective against cutaneous fungal infections. Clinically, it is necessary to raise the dosages that are delivered (for example, three times a day for more than six weeks), which typically results in adverse effects (such as skin keratinization) and drug resistance. As a result, it is vitally necessary to create a targeted medication delivery system to increase treatment effectiveness and decrease adverse effects. The goal of this study was to create and assess a novel nanoparticulate technology for the cutaneous administration of TH as a fresh method of treating fungus infections.[34]

Francis diffusion cell techniques

The abdomen hair of Sprague Dawley (SD) male albino rats was shaved using an electric razor following sacrifice with excessive isoflurane inhalation for ex vivo drug penetration and deposition tests. Surgically, the abdomen skin was removed. Using a knife, the attached subcutaneous tissue or fat was carefully sliced apart. Before use, the integrity of the skin samples was thoroughly examined to make sure they were acceptable for the studies to come. With the TH-loaded formulations, an ex vivo drug permeation research was carried out utilizing a Franz glass diffusion cell (SFDC 6, LOGAN Instruments, Somerset, NJ, USA). The diffusion cell's effective permeation area and receptor cell volume, respectively, were 1.13 cm2 and 5 mL. A black nylon membrane was placed over the diffusion cell to prevent evaporation and shield it from light. The skin sample was positioned with the SC side facing the donor chamber and between the donor and receptor compartments.[35,36]

Confocal laser scanning microscopy visualization (CLSM)

A CLSM (Leica Microsystems, Germany) investigation was conducted to see how the formulations were deposited in various skin regions. Rhodamine B-labeled formulations (Rh B-multi-ethosome-2 [Rh B-ME-2], Rh B-binary-ethosome [Rh B-BE], and RHB-binary-TREE [Rh B-TE]) were uniformly administered at a concentration of 0.05% with a volume of 1 mL to the intact skin of hairless SD rats. The designated region was dissected using a surgical scalpel to remove subcutaneous tissues and fat after 1, 2, 4, and 8 h of incubation, and then rinsed with distilled water.[33] By freezing the microtome, a segment of about 20 m thick was created. With the excitation and emission wavelengths set at 488 and 532 nmol/L, respectively, CLSM was used to observe the photomicrographs of the sections.[3638]

Attenuated total reflection Fourier transform infrared spectroscopy (ATR-FTIR)

Pentobarbital sodium was used to anaesthetize the rabbits. The back hair was then clipped, and four squares were then drawn. The designated region was then uniformly sprayed with 1 mL each of ME-2, BE, and TE. Following a 60-minute treatment, the rabbits were killed to remove the treated skin. For the ATR-FTIR (Bruker Scientific Instruments Hong Kong Co., Ltd. Hong Kong, China) measurement, all fat tissues were eliminated. The diamond incidence angle on the ATR-FTIR was set at 45 °C. After 200 cycles of scanning in the spectral region of 4000 to 1000 cm, spectra were obtained.[34] Origin 2017 programme was used to assess peak location. The control was skin that had received phosphate buffer saline (PBS) treatment.[35]

Histopathological investigation and skin irritation test

The rabbits were slaughtered following a 7-day skin irritation trial. The application area was removed, then fixed in 10% formalin for 12 h. Sections of around 5 mm thickness were cut out of the paraffin-embedded tissues. For histological analysis, the slices were stained with hematoxylin and examined using an optical microscope (Zeiss AXIO SCOPE A1, Oberkochen, Germany).[3537]

IN-VITRO TEST

Prepare the inoculum

On Sabouraud dextrose aga (SDA), C. albicans (TCC 60193) was incubated for 24 h at 30 °C. It was then transferred to a Sabouraud dextrose broth medium, incubated for an overnight period at 37 °C with 180 rpm of shaking, and diluted with sterile distilled water to a concentration of 3105 CFU/mL, which was then counted using a haemocytometer.[3638]

Statistical analytical

In this study, all data were presented as mean standard deviation (SD). One-way analysis of variance (ANOVA) was used for the statistical analysis, and Fisher's least significant difference (LSD) post hoc test was contrasted. Statistics were judged significant at P < 0.05. Vesicle stability and contact with the skin are both impacted by the zeta of the nanoparticulate systems.[39] The negative zeta of each of the produced formulations ranged from 5.40 to 13.02 mV. The formulation stability was enhanced by repulsive interactions between negatively charged vesicles. Although the zeta of ME systems was comparable to that of TE formulations, their absolute values were significantly greater than those of BE formulations, suggesting improved colloid stability. In this work, cold technique was effectively used to manufacture TH-loaded MEs with homogenous particle sizes of 100 nmol/L. Up to 86% of high TH might be trapped. Studies on ex vivo permeability and deposition revealed that microemulsion (ME) demonstrated the targeting feature in comparison to prepared BE and TE, a commercial Lamisil® cream, and the latter two. Confocal microscopic analysis, which shows how Rhodamine-labeled MEs pass beyond SC into the epidermis and dermis layer, further supports this targeting impact. ME was also discovered to be biocompatible, which was supported by testing for allergy and itchiness. When the MIC of ME was evaluated against C. albicans strains, it was discovered that it had much lower MIC values than TH drug solution and BE formulations. This work paves the path for the development of dermal targeted ME for the treatment of bacterial and fungal infections.[3941]

Photodynamic treatment (PDT)

In order to cause localised oxidative photo damage and subsequent cell death, PDT comprises the systemic or topical delivery of a photosensitizer (PS) together with the selective lighting of a target lesion with light of the right wavelength.[38,39] Malignant conditions such as skin tumours,[40] cutaneous T-cell lymphoma,[41] and cervical cancer[42,43] as well as precancerous lesions such as Bowen's disease and Barrett's esophagus responded favourable to PDT at first.[4446] PDT has recently been utilised to treat bacterial, fungal, and viral infections as well as acne, leishmaniasis, and acne vulgaris.[46,47] PDT produces cytotoxic reactive species in the presence of oxygen by using a PS and visible light of the proper wavelength. Damage to target cells is caused by the presence of cytotoxic species at the target location.[19] PDT includes exposing the PS molecule to the proper wavelength of visible light to excite it into the excited singlet state.[48] The PS may be focused to a specific cell or tissue, and the visible light can be spatially directed to the sick area, which are the main benefits of PDT. Additionally, the distribution of the PS into the lesion and the ability to efficiently illuminate the diseased area are all made possible by the treatment of localised infections with PDT.[41,42]

The interaction of photons of visible light with PS intracellular molecules at the proper wavelength determines the mechanism underlying the effects of PDT. Target microbial cells get a PS that is supplied selectively, and when these cells take it up, the PS is activated by irradiating them with light of the right wavelength. Type I and/or type II oxidative processes, which are responsible for the formation of singlet oxygen and free radicals, respectively, may take place when the PS is activated.[43]

The type I route comprises electron-transfer events from the PS triplet state to a substrate, which produces radical ions that may then react with oxygen to form harmful species, such as superoxide, lipid-derived radicals, and hydroxyl radicals. The type II route produces excited-state singlet oxygen, which can oxidised a variety of biological components, including lipids, proteins, and nucleic acids, by transferring energy from the PS triplet state to ground state molecular oxygen. These reactive species may then render bacteria inactive by causing cellular damage, primarily through the photo-oxidation of proteins, lipids, and nucleic acids in membranes.[44]

The general factors, such as PS concentration, cellular environment conditions, PS physicochemical qualities, and chemical characteristics and shape of the microbial target structures, decide which pathway (either type I or type II) predominates. Since the outer surface of most microorganisms is often negatively charged, positively charged PS are typically more effective than negative or neutral ones in terms of binding affinity to the cell wall of bacteria.[45] After the PS attaches to the microbial wall, it may either stay outside the microbe or move inside the inner cell membrane to cause changes in the permeability of the wall in response to light and/or dark stimulation. Protoporphyrin IX, an endogenous PS that functions in antimicrobial PDT in addition to exogenous-acting PS, is created from its precursor 5-aminolevulinic acid (ALA) in the heme biosynthesis signaling pathway.[46]

PDT is economical, extremely selective, and prevents the development of drug-resistant strains. Therefore, if the in vitro and ex vivo results can be translated to clinical practise, PDT may provide a beneficial alternative to the currently available antifungal medications. The fact that PDT has previously been researched for the treatment of skin and mucosal infections is significant.[47]

Outcome of In vitro and In vivo studies

The majority of antifungal PDT research that has been published has focused on in vitro laboratory studies that use different fungus, PS, and irradiation procedures. Antifungal PDT has not yet been associated with mutagenic or genotoxic side effects, and there have been no reports of the emergence of resistance to it. The dermatophyte T. rubrum has been the target of PDT's effects most often.[48,49]

ALA-PDT has previously been studied for its clinical efficacy in the treatment of human skin infections caused by fungi. RPL068 and chloroaluminum phthalocyanine photodynamic therapy had no mutagenic effects on Kluyveromyces marxianus or C. albicans. It was found that only seven studies including 63 patients with superficial mycoses were included after primary search of 106 articles on databases including MEDLINE, EMBASE, and the Cochrane Library to assess the efficacy and safety of PDT for superficial mycoses. All patients received 20% ALA as PS.[50]

To induce localised oxidative photo damage and subsequent cell death, PDT entails the systemic or topical injection of a PS and the selective lighting of a target lesion with light of the proper wavelength. PDT has been shown in numerous studies to be quite effective at killing fungus in vitro. However, no clinical PDT-based treatment has yet received licensing. In vitro, in vivo, and human research are presented in the current study to establish antifungal PDT as a novel strategy against mycoses. In conclusion, antifungal PDT is becoming a focus in the search for fresh antifungal treatment approaches.[51,52]

RECENT CLINICAL TRIALS IN FUNGAL INFECTION

Case I

In tropical regions, cutaneous and superficial fungal infections are frequent. The purpose of this study was to compile a baseline database of patients' most common etiological agents for cutaneous and superficial mycoses. Clinical samples were analysed by direct microscopy and culture after specimens were collected from the patient's afflicted area. The patients' epidemiological profiles were gathered.[53,54] A total of 750 patients had their mycoses confirmed. There were 750 positive samples in all, including positive samples from the nail (373, 49.70%), skin (323, 43.00%), head (47, 6.26%), and mucosal membrane (4, 0.50%). The yeasts group consisted of 304 Candida spp. (70.30%), 123 Malassezia spp. (28.47%), and 5 Rhodotorula spp. (1.10%). It also included 34.8% of the filamentous fungi that were dermatophytes, and 7.5% that were non-dermatophytes. Tinea unguium (110,261), tinea capitis (50,261), tinea pedis (48,261), tinea corporis (37,261), and tinea cruris (16,261) were the clinical categories of dermatophytosis. A. flavus (17), A. Niger (4), Aspergillus spp. (15), Penicillium (10), Fusarium (6), Mucor (2), Stemphylium (1), and Alternaria (1) were among the non-dermatophyte mould. This study offers valuable information on the trends in cutaneous and superficial fungal infections in a particular region. In order to better understand the epidemiological characteristics of these mycoses, the mycological data confirmed a greater incidence of candidiasis (mostly onychomycosis) and dermatophytosis in patients affected by fungal infections.[5558]

Case II

Tioconazole 1% dermal cream has been demonstrated to be effective and safe in the treatment of a range of superficial fungal infections of the skin and erythrasma in 32 studies involving 1304 individuals.[59] In the treatment of pityriasis versicolor and infections with Trichophyton rubrum and Trichophyton mentagrophytes, which are responsible for 70% of dermatophyte infections in humans, tioconazole cream is more efficient than miconazole nitrate 2% cream. There are not enough comparisons between econazole and clotrimazole to draw firm conclusions on relative efficacy. There were no significant local or systemic adverse responses, and all the creams were simple to use.[6063]

Case III

Numerous different plant extracts have been used in traditional medicine to treat fungi, and some of these have been examined for in vitro antifungal efficacy. The antifungal herbal preparations that have undergone controlled clinical trials are evaluated in this systematic review. We looked for controlled clinical trials of natural antifungal medications in four different electronic databases.[64] Two separate reviewers extracted the data in a consistent manner, and the results are narratively examined. Our inclusion criteria were met by seven clinical trials. Four randomised clinical trials using tea tree oil formulations were conducted, and in all of them, the intervention was found to have some beneficial effects. Oil of bitter orange preparations and Solanum species were compared to standard treatments in two trials each. In every case, positive outcomes were documented. Herbal antifungal medications have received relatively few controlled clinical trials. Tea tree oil has undergone the most extensive clinical testing and shows some benefit.[6570]

CONCLUSION

Multi-ethosome was determined to be biocompatible, as shown by testing for allergy and irritability. When the MIC of ME was tested against C. albicans strains, it was discovered that it had significantly lower MIC values than TH drug solution and BE (binary-ethosome) formulations. In the exposed cells, the photoactivation triggers a cascade of photochemical and photobiological reactions that permanently alter the cells. Despite the fact that photodynamic therapies are well established experimentally for the treatment of several cutaneous diseases, little is known about the mechanisms by which they work against particular bacteria and the dangers they pose to healthy tissues. We have undertaken a thorough evaluation of the state-of-the-art in photodynamic therapy with regard to its use in treating fungal illnesses in this work. This research paves the path for the development of dermal targeted ME for the treatment of bacterial and fungal infections.

DECLARATIONS

Acknowledgement

We thank the Gyan Ganga Institute of Technology and Science Pharmacy Jabalpur, Uttar Pradesh, India for their constant support and providing all facilities to complete this work.

Author contributions

Verma M, Jaiswal A, Prajapati M: Writing—Original draft. Ahire ED, Sable RR and Keservani RK: Writing—Review and Editing. All authors have read and approved the final version of the manuscript.

Funding

This review received no external funding.

Ethics approval

Not applicable.

Conflict of interest

Eknath D Ahire and Raj K Keservani are Editorial Board Members of the journal. The article was subject to the journal's standard procedures, with peer review handled independently of two editors and their research groups.

Data sharing

No additional data.

REFERENCES

  1. Brown GD, Denning DW, Gow NAR, Levitz SM, Netea MG, White TC. Hidden killers: human fungal infections. Sci Transl Med. 2012;4(165):165rv13.    DOI: 10.1126/scitranslmed.3004404
  2. El-Gohary M, van Zuuren EJ, Fedorowicz FZ, et al. Topical antifungal treatments for tinea cruris and tinea corporis. Cochrane Database Syst Rev. 2014;(8):CD009992.    DOI: 10.1002/14651858.CD009992.pub2
  3. White TC, Findley K, Dawson TL Jr, et al. Fungi on the skin: dermatophytes and Malassezia. Cold Spring Harb Perspect Med. 2014;4(8):a019802.    DOI: 10.1101/cshperspect.a019802    PMID: 25085959
  4. Elewski BE. Onychomycosis: pathogenesis, diagnosis, and management. Clinical microbiology reviews. 1998;11(3):415–429.
  5. Zaragoza R, Pemán J, Salavert M, et al. Multidisciplinary approach to the treatment of invasive fungal infections in adult patients. Prophylaxis, empirical, preemptive or targeted therapy, which is the best in the different hosts? Ther Clin Risk Manag. 2008;4(6):1261–1280.    DOI: 10.2147/tcrm.s3994    PMID: 19337433
  6. Jerajani H, Janaki C, Kumar S, Phiske M. Comparative assessment of the efficacy and safety of sertaconazole (2%) cream versus terbinafine cream (1%) versus luliconazole (1%) cream in patients with dermatophytoses: a pilot study. Indian J Dermatol. 2013;58(1):34–38.    DOI: 10.4103/0019–5154.105284    PMID: 23372210
  7. Veraldi S, Persico MC, Schianchi R. Isoconazole nitrate vs isoconazole nitrate and diflucortolone valerate in the treatment of tinea inguinalis: results of a multicenter retrospective study. J Drugs Dermatol. 2012;11(11):e70–e73.
  8. Thombre NA, Niphade PS, Ahire ED, Kshirsagar SJ. Formulation Development and Evaluation of Microemulsion Based Lornoxicam Gel. Biosci Biotechnol Res Asia. 2022;19(1):69–80.    DOI: 10.13005/bbra/2968
  9. Degreef H. Clinical forms of dermatophytosis (ringworm infection). Mycopathologia. 2008;166(5–6):257–265.    DOI: 10.1007/s11046–008–9101–8
  10. Hossen MS, Kar A, Haque HM. Ringworm: evaluation of c-reactive protein and lipid profile as well as their correlation with the patients age and body mass index. Bangladesh J Med Sci. 2020;19(4):673.    DOI: 10.3329/bjms.v19i4.46624
  11. Ilkit M, Durdu M. Tinea pedis: the etiology and global epidemiology of a common fungal infection. Crit Rev Microbiol. 2015;41(3):374–388.    DOI: 10.3109/1040841X.2013.856853    PMID: 24495093
  12. Nowicka D, Nawrot U. Tinea pedis-An embarrassing problem for health and beauty-A narrative review. Mycoses. 2021;64(10):1140–1150.    DOI: 10.1111/myc.13340    PMID: 34145648
  13. Deshmukh SG, Thakre T, Gupta J, Waskar R. A Case Study on Management of Tinea Cruris with Classical Vaman Karma. J Pharm Res Int. 2021;33(33B):195–202.    DOI: 10.9734/JPRI/2021/v33i33B31811
  14. Bishnoi A, Mahajan R. Tinea cruris. In: Singh SK ed. Diagnostics to Pathogenomics of Sexually Transmitted Infections. John Wiley & Sons; 2018.
  15. Hay RJ. Tinea Capitis: Current Status. Mycopathologia. 2017;182(1–2):87–93.    DOI: 10.1007/s11046-016-0058-8
  16. Kallel A, Hdider A, Fakhfakh N, et al. [Tinea capitis: Main mycosis child. Epidemiological study on 10 years]. J Mycol Med. 2017;27(3):345–350.    DOI: 10.1016/j.mycmed.2017.02.009
  17. Ahire ED, Pathan AS, Pandagale PM, et al. Role of Dietary in the Prevention and Management of Obesity. In: Keservani RK, Yadav D, Kesharwani RK, Singh S, Sandeep K, eds. The Metabolic Syndrome: Dietary Supplements and Food Ingredients. Apple Academic Press; 2023.
  18. Leung AK, Barankin B, Lam JM, Leong KF, Hon KL. Tinea versicolor: an updated review. Drugs Context. 2022;11:2022–2029.    DOI: 10.7573/dic.2022–9–2    PMID: 36452877
  19. Veasey JV, Avila RB, Miguel BAF, Muramatu LH. White piedra, black piedra, tinea versicolor, and tinea nigra: contribution to the diagnosis of superficial mycosis. An Bras Dermatol. 2017;92(3):413–416.    DOI: 10.1590/abd180–4841.20176018    PMID: 29186263
  20. Taudorf EH, Jemec GBE, Hay RJ, Saunte DML. Cutaneous candidiasis—an evidence-based review of topical and systemic treatments to inform clinical practice. J Eur Acad Dermatol Venereol. 2019;33(10):1863–1873.    DOI: 10.1111/jdv.15782    PMID: 31287594
  21. Ahire ED, Sonawane VN, Surana KR, et al. Preventive Measures of Type 2 Diabetes via Nutrition. In: Keservani RK, Yadav D, Kesharwani RK, Singh S, Sandeep K, eds. The Metabolic Syndrome: Dietary Supplements and Food Ingredients. Apple Academic Press; 2023.
  22. Ramos Lde S, Barbedo LS, Braga-Silva LA, dos Santos AL, Pinto MR, Sgarbi DB. Protease and phospholipase activities of Candida spp. isolated from cutaneous candidiasis. Rev Iberoam Micol. 2015;32(2):122–125.    DOI: 10.1016/j.riam.2014.01.003    PMID: 24853474
  23. Lipner SR, Scher RK. Management of onychomycosis and co-existing tinea pedis. J Drugs Dermatol. 2015;14(5):492–494.    PMID: 25942668
  24. Aragón-Sánchez J, López-Valverde ME, Víquez-Molina G, Milagro-Beamonte A, Torres-Sopena L. Onychomycosis and Tinea Pedis in the Feet of Patients With Diabetes. Int J Low Extrem Wounds. 2023;22(2):321–327.    DOI: 10.1177/15347346211009409    PMID: 33891512
  25. Surana KR, Ahire ED, Sonawane VN, et al. Molecular modeling: Novel techniques in food and nutrition development. In: Carvajal-Millan E, Yaser AZ, Haghi AK, eds. Natural Food Products and Waste Recovery. Apple Academic Press; 2021.
  26. Rotta I, Sanchez A, Gonçalves PR, Otuki MF, Correr CJ. Efficacy and safety of topical antifungals in the treatment of dermatomycosis: a systematic review. Br J Dermatol. 2012;166(5):927–933.    DOI: 10.1111/j.1365–2133.2012.10815.x    PMID: 22233283
  27. El-Gohary M, Burgess H, Doney L, et al. Topical antifungal treatments for tinea cruris and tinea corporis (Protocol). Cochrane Database Syst Rev. 2012;8(CD0099):1-11.    DOI: 10.1002/14651858.CD009992
  28. Aguilar C, Jullien V, Alanio A, et al. Antifungals. Accessed June 25, 2023. https://www.em-consulte.com/article/946740/antifongiques
  29. Chowdhary A, Prakash A, Sharma C, et al. A multicentre study of antifungal susceptibility patterns among 350 Candida auris isolates (2009–17) in India: role of the ERG11 and FKS1 genes in azole and echinocandin resistance. J Antimicrob Chemother. 2018;73(4):891–899.    DOI: 10.1093/jac/dkx480    PMID: 29325167
  30. Rosen T, Gold LFS. Antifungal Drugs for Onychomycosis: Efficacy, Safety, and Mechanisms of Action. Semin Cutan Med Surg. 2016;35(3 Suppl 3):S51–S55.    DOI: 10.12788/j.sder.2016.009
  31. Lusiana, Müller-Goymann CC. Preparation, characterization, and in vitro permeation study of terbinafine HCl in poloxamer 407-based thermogelling formulation for topical application. AAPS PharmSciTech. 2011;12(2):496–506.    DOI: 10.1208/s12249–011–9611–4    PMID: 21479748
  32. Nozawa M, Goto M, Wada Y, Kumazawa M, Shimokawa KI, Ishii F. Generic selection criteria for safety and patient benefit [VII]: Comparing the physicochemical and pharmaceutical properties of brand-name and generic terbinafine hydrochloride cream. Drug Discov Ther. 2018;12(1):16–20.    DOI: 10.5582/ddt.2017.01073    PMID: 29479048
  33. Ahmed OAA, Badr-Eldin SM. Development of an optimized avanafil-loaded invasomal transdermal film: Ex vivo skin permeation and in vivo evaluation. Int J Pharm. 2019;570:118657.    DOI: 10.1016/j.ijpharm.2019.118657    PMID: 31491483
  34. Maione A, Mileo A, Pugliese S, et al. VT-1161-A Tetrazole for Management of Mono- and Dual-Species Biofilms. Microorganisms. 2023;11(2):237.    DOI: 10.3390/microorganisms11020237    PMID: 36838202
  35. Schell WA, Jones AM, Garvey EP, Hoekstra WJ, Schotzinger RJ, Alexander BD. Fungal CYP51 Inhibitors VT-1161 and VT-1129 Exhibit Strong In Vitro Activity against Candida glabrata and C. krusei Isolates Clinically Resistant to Azole and Echinocandin Antifungal Compounds. Antimicrob Agents Chemother. 2017;61(3):e01817–e01816.    DOI: 10.1128/AAC.01817–16    PMID: 27956419
  36. Warrilow AG, Parker JE, Price CL, et al. The Investigational Drug VT-1129 Is a Highly Potent Inhibitor of Cryptococcus Species CYP51 but Only Weakly Inhibits the Human Enzyme. Antimicrob Agents Chemother. 2016;60(8):4530–4538.    DOI: 10.1128/AAC.00349–16    PMID: 27161631
  37. Wiederhold NP, Xu X, Wang A, et al. In vivo efficacy of VT-1129 against Experimental Cryptococcal Meningitis with the Use of a Loading Dose-Maintenance Dose Administration Strategy. Antimicrob Agents Chemother. 2018;62(11):e01315–01318.    DOI: 10.1128/AAC.01315–18    PMID: 30104280
  38. Garvey EP, Sharp AD, Warn PA, et al. The novel fungal CYP51 inhibitor VT-1598 displays classic dose-dependent antifungal activity in murine models of invasive aspergillosis. Med Mycol. 2020;58(4):505–513.    DOI: 10.1093/mmy/myz092    PMID: 32476008
  39. Wiederhold NP, Patterson HP, Tran BH, Yates CM, Schotzinger RJ, Garvey EP. Fungal-specific Cyp51 inhibitor VT-1598 demonstrates in vitro activity against Candida and Cryptococcus species, endemic fungi, including Coccidioides species, Aspergillus species and Rhizopus arrhizus. J Antimicrob Chemother. 2018;73(2):404–408.    DOI: 10.1093/jac/dkx410    PMID: 29190379
  40. Obrecht D, Bernardini F, Dale G, Dembowsky K. Emerging new therapeutics against key gram-negative pathogens. In: Macor JE, ed. Annual Reports in Medicinal Chemistry. Academic Press; 2011.
  41. Marinelli F, Genilloud O. Antimicrobials: new and old molecules in the fight against multi-resistant bacteria. Springer Science & Business Media; 2013.
  42. Sharma N, Sharma D. An upcoming drug for onychomycosis: Tavaborole. J Pharmacol Pharmacother. 2015;6(4):236–239.    DOI: 10.4103/0976-500X.171870
  43. Elewski BE, Tosti A. Tavaborole for the treatment of onychomycosis. Expert Opin Pharmacother. 2014;15(10):1439–1448.    DOI: 10.1517/14656566.2014.921158
  44. Negi P, Singh B, Sharma G, Beg S, Raza K, Katare OP. Phospholipid microemulsion-based hydrogel for enhanced topical delivery of lidocaine and prilocaine: QbD-based development and evaluation. Drug Deliv. 2016;23(3):951–967.    DOI: 10.3109/10717544.2014.923067    PMID: 24892623
  45. Fekrazad R, Ghasemi Barghi V, Poorsattar Bejeh Mir A, Shams-Ghahfarokhi M. In vitro photodynamic inactivation of Candida albicans by phenothiazine dye (new methylene blue) and Indocyanine green (EmunDo®). Photodiagnosis Photodyn Ther. 2015;12(1):52–57.    DOI: 10.1016/j.pdpdt.2014.12.006    PMID: 25560418
  46. Wang J, Ma C, Guo C, Yuan R, Zhan X. CTG-loaded liposomes as an approach for improving the intestinal absorption of asiaticoside in Centella Total Glucosides. Int J Pharm. 2016;509(1–2):296–304.    DOI: 10.1016/j.ijpharm.2016.05.044
  47. Yu J, Hsu CH, Huang CC, Chang PY. Development of therapeutic Au-methylene blue nanoparticles for targeted photodynamic therapy of cervical cancer cells. ACS Appl Mater Interfaces. 2015;7(1):432–441.    DOI: 10.1021/am5064298    PMID: 25494339
  48. de Freitas LM, Soares CP, Fontana CR. Synergistic effect of photodynamic therapy and cisplatin: a novel approach for cervical cancer. J Photochem Photobiol B. 2014;140:365–373.    DOI: 10.1016/j.jphotobiol.2014.08.021    PMID: 25240426
  49. Gracia-Cazaña T, López MT, Oncins R, Gilaberte Y. Successful treatment of sequential therapy in digital Bowen's disease with methyl aminolevulinate photodynamic therapy and topical diclofenac 3% in hyaluronan 2.5% gel. Dermatol Ther. 2015;28(6):341–343.    DOI: 10.1111/dth.12270    PMID: 26291609
  50. Gosavi SB, Patil MP, Ahire ED, Deshmukh MD. An Application-based Review of Mesoporous Silica Nanoparticles for Drug Delivery in the Biomedical Field. Eur Chem Bull. 2023;12(Special Issue 6):2128–2142.
  51. Jung SE, Kim SK, Kim YC. Photodynamic therapy in Bowen disease of the first web space of the hand. Ann Dermatol. 2015;27(1):76–78.    DOI: 10.5021/ad.2015.27.1.76    PMID: 25673936
  52. Wang Q, Yuan D, Liu W, et al. Use of Optical Fiber Imported Intra-Tissue Photodynamic Therapy for Treatment of Moderate to Severe Acne Vulgaris. Med Sci Monit. 2016;22:362–366.    DOI: 10.12659/msm.896586    PMID: 26839152
  53. Al-Qahtani A, Alkahtani S, Kolli B, et al. Aminophthalocyanine-Mediated Photodynamic Inactivation of Leishmania tropica. Antimicrob Agents Chemother. 2016;60(4):2003–2011.    DOI: 10.1128/AAC.01879–15    PMID: 26824938
  54. Khulbe P, Singh DM, Aman A, Ahire ED, Keservani RK. The emergence of nanocarriers in the management of diseases and disorders. Community Acquir Infect. 2023;10.
  55. Soergel P, Hillemanns P. Photodynamic therapy for intraepithelial neoplasia of the lower genital tract. Photodiagnosis Photodyn Ther. 2010;7(1):10–14.    DOI: 10.1016/j.pdpdt.2009.12.007    PMID: 20230987
  56. Smijs TG, Pavel S. The susceptibility of dermatophytes to photodynamic treatment with special focus on Trichophyton rubrum. Photochem Photobiol. 2011;87(1):2–13.    DOI: 10.1111/j.1751–1097.2010.00848.x    PMID: 21114670
  57. Maisch T. A new strategy to destroy antibiotic resistant microorganisms: antimicrobial photodynamic treatment. Mini Rev Med Chem. 2009;9(8):974–983.    DOI: 10.2174/138955709788681582    PMID: 19601890
  58. Prates RA, Kato IT, Ribeiro MS, Tegos GP, Hamblin MR. Influence of multidrug efflux systems on methylene blue-mediated photodynamic inactivation of Candida albicans. J Antimicrob Chemother. 2011;66(7):1525–1532.    DOI: 10.1093/jac/dkr160    PMID: 21525022
  59. Ebrahimi M, Zarrinfar H, Naseri A, et al. Epidemiology of dermatophytosis in northeastern Iran; A subtropical region. Curr Med Mycol. 2019;5(2):16–21.    DOI: 10.18502/cmm.5.2.1156    PMID: 31321333
  60. Sangray A, Singh A P, Singh A P, Phytochemical evaluation and investigation of anti-fungal activity of turnip top extracts. Indian J Pharm Pharmacol. 2021;8(4):248–253.
  61. Lamont RJ, Koo H, Hajishengallis G. The oral microbiota: dynamic communities and host interactions. Nat Rev Microbiol. 2018;16(12):745–759.    DOI: 10.1038/s41579–018–0089-x    PMID: 30301974
  62. Tan ST, Firmansyah Y. New innovation using topical itraconazols as a superficial fungal skin infection therapy and its superiority compared to standard therapy. J Holist Tradit Med. 2021;6(02):669–678.
  63. Hay R. Therapy of skin, hair and nail fungal infections. J Fungi. 2018;4(3):99.    DOI: 10.3390/jof4030099
  64. Sen P, Khulbe P, Ahire ED, Gupta M, Chauhan N, Keservani RK. Skin and soft tissue diseases and their treatment in society. Community Acquir Infect. 2023;10.
  65. D'souza S, Udavant P, Kadam J, et al. Role of Vitamins in Metabolic Diseases. In: Ahire ED, Keservani RK, Surana KR, Singh S, Kesharwani RK, eds. Vitamins as Nutraceuticals: Recent Advances and Applications; 2023.
  66. Talele SG, Ahire ED, Talele GS, Derle DV. An Innovative Approach as Self-Emulsifying Drug Delivery System for Phytoconstituents. In: Kesharwani RK, Keservani RK, Sharma AK, eds. Enhancing the Therapeutic Efficacy of Herbal Formulations. IGI Global; 2021.
  67. Carrion C, Robles N, Sola-Morales O, Aymerich M, Ruiz Postigo JA. Mobile Health Strategies to Tackle Skin Neglected Tropical Diseases With Recommendations From Innovative Experiences: Systematic Review. JMIR Mhealth Uhealth. 2020;8(12):e22478.    DOI: 10.2196/22478    PMID: 33382382
  68. Chen MY, Kueneman JG, González A, Humphrey G, Knight R, McKenzie VJ. Predicting fungal infection rate and severity with skin-associated microbial communities on amphibians. Mol Ecol. 2022;31(7):2140–2156.    DOI: 10.1111/mec.16372    PMID: 35076975
  69. Walke JB, Belden LK. Harnessing the Microbiome to Prevent Fungal Infections: Lessons from Amphibians. PLoS Pathog. 2016;12(9):e1005796.    DOI: 10.1371/journal.ppat.1005796    PMID: 27606683
  70. Sanguinetti M, Bosco C, Cassidy L, et al. Treebanking user-generated content: a UD based overview of guidelines, corpora and unified recommendations. Lang Resour Eval. 2023;57(2):493–544.    DOI: 10.1007/s10579-022-09581-9